Specifications
Table Of Contents
- AUSOM News April 2009
- From Your Committee
- Stephen’s Favourite Freebies
- animateur — (say anuhmuh’ter)
- Editorial
- Monthly Raffle
- Special Interest Groups
- Digital Video
- iWork
- FileMaker Forum
- GarageBand Basics
- Main Meeting
- Major Presentation
- Photoshop
- iTunes & iPod
- GarageBand Plus
- iPhone
- Mac Basics–OS X
- Genealogy
- Introduction to FirstClass
- Mac Forum
- Programmers
- Mac OS X - Advanced
- Graphics
- Newcomers & Greenhorns
- Digital Photography
- Microsoft Office
- Internet Plus
- MultiMedia
- Retirees and Others
- Mac Donate Project Plan
- We are growing our Beginners 1:1 service
- AUSOM AGM Notices
- More From The Rabbit Burrow
- A World First…
- Interesting URLs
- APPLE TIP # 29
- My Favourite Freebies
- Spranq’s Ink-Saving Font
- ecofont
- Once a pun a time…
- FirstClass
- Disconnected Jottings
- Bruce’s Blurb #219
- Installing an External Hard Drive on an iMac
- Karma
- The iPhone Chronicles – 3 - Making a Phone Call
- My Favourite Things – 7 - Switch
- In the Library
- AUSOM March 7 in Pictures
- Apple Previews Developer Beta of iPhone OS 3.0
- Apple Adds PetiteAluminum Keyboard
- Mac mini Receives Multiple Performance Boosts
- In the Library
- Apple Refreshes iMac Line
- Press Release
- Letter to the Editor
- AUSOM Discs of the Month
- What's On at AUSOM
- Advertisements

AUSOM & AUSOM News on the Internet32 v AUSOM News April 2009
However, Sysquake LE can also be used in a simpler
way for simpler things.
As a small example, I can copy/paste the following
into Sysquake LE:
m=[1 1/2 1/3: 1/2 1/3 1/4; 1/3 1/4 1/5]
n=inv(m)
Then I press Return, and get the following in the
Sysquake window:
>m=[1 1/2 1/3: 1/2 1/3 1/4; 1/3 1/4 1/5]
n=inv(m)
m=
1 .5 0.3333
0.5 0.3333 0.25
0.3333 0.25 0.2
n=
9 -3 30
-36 192 -180
30 -180 180
Thus the inverse n of the matrix m is displayed.
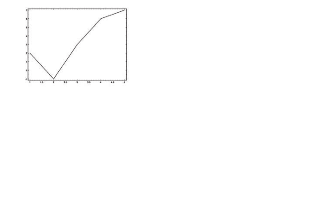
Another small example of graph plotting is the
following.
If the following is entered by copy/paste into Sysquake
LE, and Return is pressed, the data are plotted (see
attached graphic).
>x=[1:1:5]
x =
1 2 3 4 5
>y=[2 -1 3 6 7 ]
y =
2-1 3 6 7
>plot(x,y)
>
Labels can be put on the axes; I did not bother in this
instance.
Of course, one can plot such graphs using an Excel
spreadsheet, and some people prefer this. But if
the data must first be processed by some formula
or calculation, then plotted, I much prefer to use
MATLAB-style formulas than to translate the steps
into “Excelese” (and have to consider positions in
rows and columns.) But each one to his or her taste.
Sysquake does have provision for inputting data
from a text file. It is different from what the help files
say, and I had to get help from the supplier. I found
that this data input feature would only work on OS
X 10.4.10 with the older version 3.6 of Sysquake
LE, whereas other features worked on OS X version
10.5.6 with the current version 4.1. (The supplier
said differently; but I know what didn’t work on my
MacBook.) I hope to say more about this and other
features of Sysquake in a later blurb (if my energy
survives.)
Starting an iBook
An iBook, some years old, but still with valuable
programs and data files on it, got to the stage when it
wouldn’t start up. Each time, it hung on a particular
program, one of a number that had been set to start
up automatically.
How could I switch this off?
After much pondering, I realised that the Dock
had appeared before the computer hung. So, by
jumping in at the right moment, I could open System
Preferences from the Dock, go into Accounts, then
turn off the automatic launching of a number of
programs that looked a bit ‘suss’. After that, the
computer still failed to start; it hung at the next
roadblock — trying to list the files in the home folder.
So I switched it off, left it alone for a few minutes to
equilibrate (namely, for capacitors to discharge). I
tried again and at last, it started. As a bonus, MATLAB
would run again on that computer, which for a while
it wouldn’t.
FTP programs
I had to transfer some files between web pages and
an iMac. There is a freeware program called Fugu that
works with SFTP (“secure FTP”) but not with the older
FTP. There is a program called Cyberduck that works
fine with FTP. My favourite among such programs is
Netfinder, which does both versions well but I didn’t
have Netfinder on the particular iMac. When I copied
it there, I found the registration number didn’t work.
That turned out to be because I had copied it wrongly,
omitting a couple of non-alphabetic characters. But I
didn’t find that out until a later day.
What did I need FTP for?
I had a PDF file, which I needed to protect with a
password to prohibit printing. I am told that a feature
of OS X version 10.5.6 does those things, but I did
not know just how to do it. So had to ask a colleague
who had a copy of Acrobat Professional. But I had
to get a 17 MB PDF file to him and receive back
the protected version. This is too big for an email
attachment. (Editor’s Note: Unless you both subscribe
to FirstClass!) So I used a web page as a transfer
medium. A memory stick could also be used, but USB
file transfer is slower.
z