Stereo Amplifier User Manual
Manuals
Brands
Adcom Manuals
Amplifier
GFA-7400
1
2
3
4
5
6
7
8
9
10
1
...
...
5
6
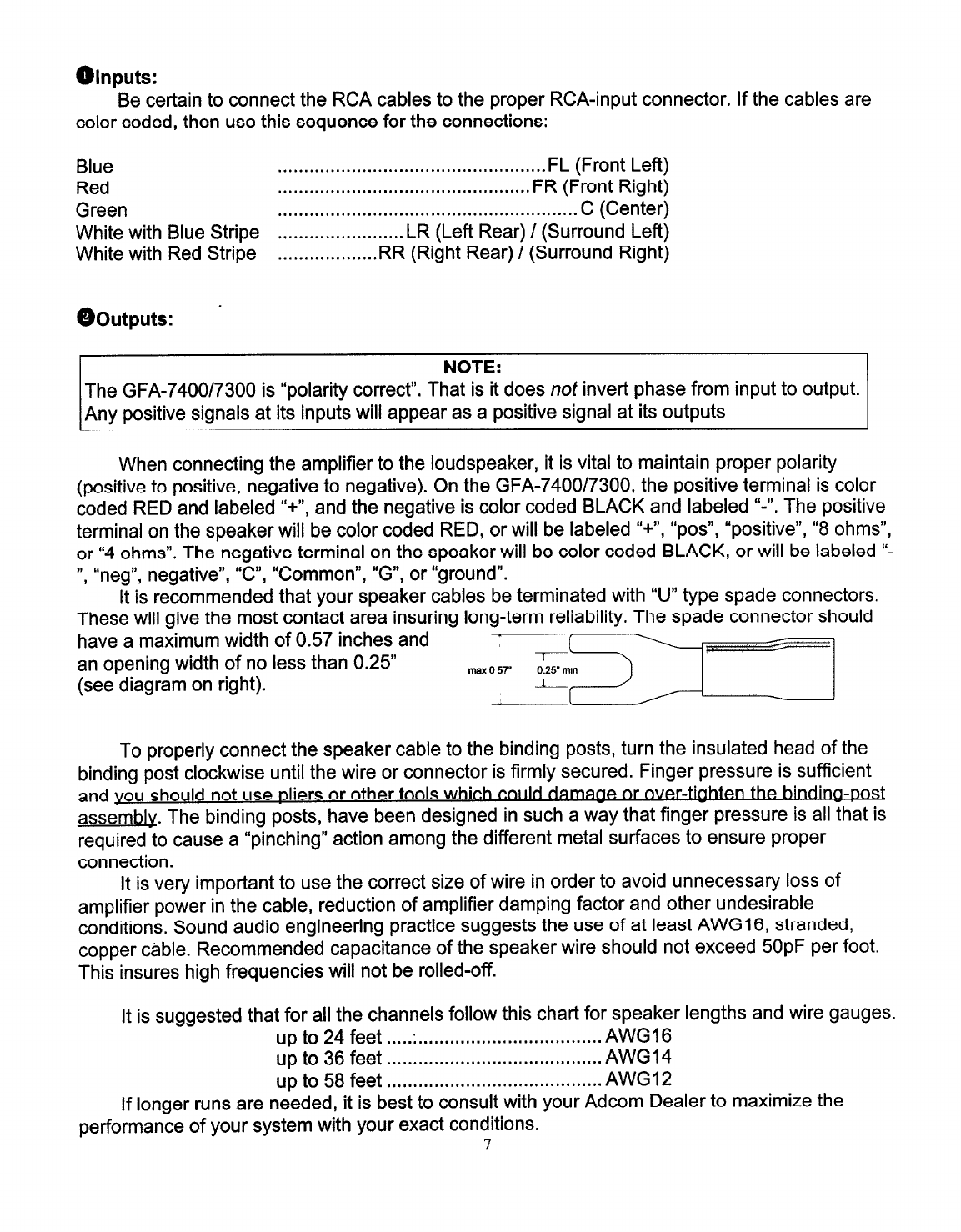
7
8
9
...
...
19