Specifications
Table Of Contents
- 1794-IN108D-EN-P FLEX I/O 8 Input HART Analog Module Installation Instructions
- Back Cover

30 FLEX I/O 8 Input HART Analog Module
Publication
1794-IN108D-EN-P - January 2014
If a fault occurs in the field transmitter supply of any channel, every channel’s
field transmitter power is shutdown.
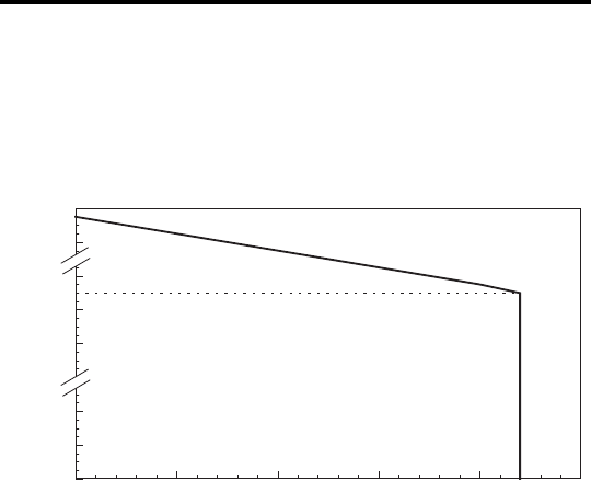
The following graph depicts the typical transmitter load characteristic.
Field Transmitter Load Characteristic
43850
0
mA
4 8 12 16 20 24
Voltage
V DC
24
23
17
16
15
14
3
2
1
0










