Communications System Owner Manual
Table Of Contents
- Table of Contents
- ABOUT THIS DOCUMENT
- 1. INTRODUCTION TO CONNECTIVITY
- 2. COMMUNICATION SYSTEM NETWORKING (em AN OVERVIEW
- 3. TANDEM TIE TRUNK NETWORKS
- 4. MAIN-SATELLITE/TRIBUTARY (MS/T) NETWORKS THROUGH THE UDP OR MULTIPREMISES PACKAGES
- 5. ELECTRONIC TANDEM NETWORK (ETN) THROUGH THE ETN AND PNA PACKAGES
- 6. DISTRIBUTED COMMUNICATIONS SYSTEM (DCS)
- 7. DATA CONNECTIVITY - AN OVERVIEW
- 8. DATA COMMUNICATIONS CAPABILITIES
- 9. DATA COMMUNICATIONS CONFIGURATIONS
- A. RELATED DOCUMENTS
- B. SYNCHRONIZATION OF DIGITAL FACILITIES
- THE NEED FOR SYNCHRONIZATION
- SYNCHRONIZATION HIERARCHY
- CHANGES TO THE SCS SOFTWARE MADE AVAILABLE VIA SOFTWARE PATCHES
- NETWORK SYNCHRONIZATION AND ENGIINEERING
- AVAILABILITY OF SYNCHRONIZATION SOURCES
- CONCLUSIONS ON SYNCHRONIZATION
- USE OF GENERIC 2 AS A SYSTEM CLOCK REFERENCE
- USE OF GENERIC 1 AS A SYSTEM CLOCK REFERENCE
- C. TRUNKING TERMS AND CAPABILITIES
- D. COMMUNICATIONS PROTOCOLS
- E. LEAD DEFINITIONS
- F. NETWORKING FEATURES - AVAILABILITY MATRIX
- ABBREVIATIONS
- GLOSSARY
- INDEX

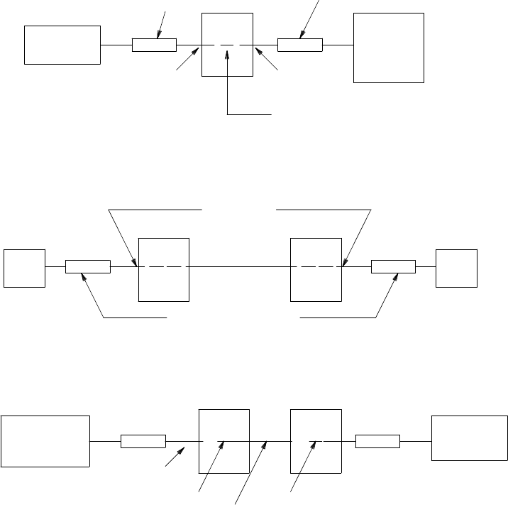
DATA COMMUNICATIONS CONFIGURATIONS 9-3
_ ______________________________________________________________________________________
_ ______________________________________________________________________________________
_ ______________________________________________________________________________________
PSC OR DSC
S75/S85/G1/G2
PSC OR DSC
S75/S85/G1/G2
DIGITAL
LINE PORT
COMMUNICATION TYPE MUST BE AVD OR DATA)
(24TH-CHANNEL OR ISDN-PRI MOS SIGNALING
MULTIPLEXER
OR
COMPUTER
C. SYSTEM 75, SYSTEM 85 (R2V4), GENERIC 1 OR GENERIC 2 - PSC/DSC USING PRIVATE NETWORK DIGITAL FACILITIES
HIGH-USAGE
DATA TERMINAL
OR
MULTIPLEXER
MPDMMPDM
4-WIRE, E&M
TIE TRUNK
MODEM MODEM DTEDTE
S85/G2
DSC DSC
S85/G2
DS1
4-WIRE, PRIVATE-LINE
MODEMS
B. SYSTEM 85 (R2V3) TO SYSTEM 85 (R2V3 OR V4) OR GENERIC 2 OVER DS1
HOST
COMPUTER
OR
FRONT-END
PROCESSOR
EIA
INTERFACE
A. SYSTEM 75 OR GENERIC 1 - PSC USING STANDARD BUILDING WIRING
PSC —
ALSO REFERRED TO AS "SOFTWARE
CONNECTION"
HIGH-USAGE
DATA
TERMINAL
MPDM
S75/G1
ORIGINATING
DATA MODULE
DIGITAL
LINE PORT
MADU SUPPORTS
ASYNCHRONOUS ONLY
MADU
Figure 9-1. Dedicated/Permanent Switched Connections — Configurations (Sheet 1-or-2)










