User Manual
Table Of Contents
- Getting Ready
- Contents
- About This User’s Guide
- Chapter 1 Getting Acquainted
- Chapter 2 Using the Main Application
- 2-1 Main Application Overview
- 2-2 Basic Calculations
- 2-3 Using the Calculation History
- 2-4 Function Calculations
- 2-5 List Calculations
- 2-6 Matrix and Vector Calculations
- 2-7 Using the Action Menu
- 2-8 Using the Interactive Menu
- 2-9 Using the Main Application in Combination with Other Applications
- 2-10 Using Verify
- Chapter 3 Using the Graph & Table Application
- Chapter 4 Using the Conics Application
- Chapter 5 Using the 3D Graph Application
- Chapter 6 Using the Sequence Application
- Chapter 7 Using the Statistics Application
- 7-1 Statistics Application Overview
- 7-2 Using List Editor
- 7-3 Before Trying to Draw a Statistical Graph
- 7-4 Graphing Single-Variable Statistical Data
- 7-5 Graphing Paired-Variable Statistical Data
- 7-6 Using the Statistical Graph Window Toolbar
- 7-7 Performing Statistical Calculations
- 7-8 Test, Confidence Interval, and Distribution Calculations
- 7-9 Tests
- 7-10 Confidence Intervals
- 7-11 Distribution
- 7-12 Statistical System Variables
- Chapter 8 Using the Geometry Application
- Chapter 9 Using the Numeric Solver Application
- Chapter 10 Using the eActivity Application
- Chapter 11 Using the Presentation Application
- Chapter 12 Using the Program Application
- Chapter 13 Using the Spreadsheet Application
- Chapter 14 Using the Setup Menu
- Chapter 15 Configuring System Settings
- 15-1 System Setting Overview
- 15-2 Managing Memory Usage
- 15-3 Using the Reset Dialog Box
- 15-4 Initializing Your ClassPad
- 15-5 Adjusting Display Contrast
- 15-6 Configuring Power Properties
- 15-7 Specifying the Display Language
- 15-8 Specifying the Font Set
- 15-9 Specifying the Alphabetic Keyboard Arrangement
- 15-10 Optimizing “Flash ROM”
- 15-11 Specifying the Ending Screen Image
- 15-12 Adjusting Touch Panel Alignment
- 15-13 Viewing Version Information
- Chapter 16 Performing Data Communication
- Appendix

20050501
uu
uu
u toPol
Function: Returns an equivalent polar form [r∠θ].
Syntax: toPol (Mat [,natural number] [
)
]
• This command can be used with a 1 × 2 or 2 × 1 matrix only.
• This command returns “r” when “natural number” is 1, and “
θ
” when “natural number” is
2.
• This command returns a polar form when you omit “natural number”.
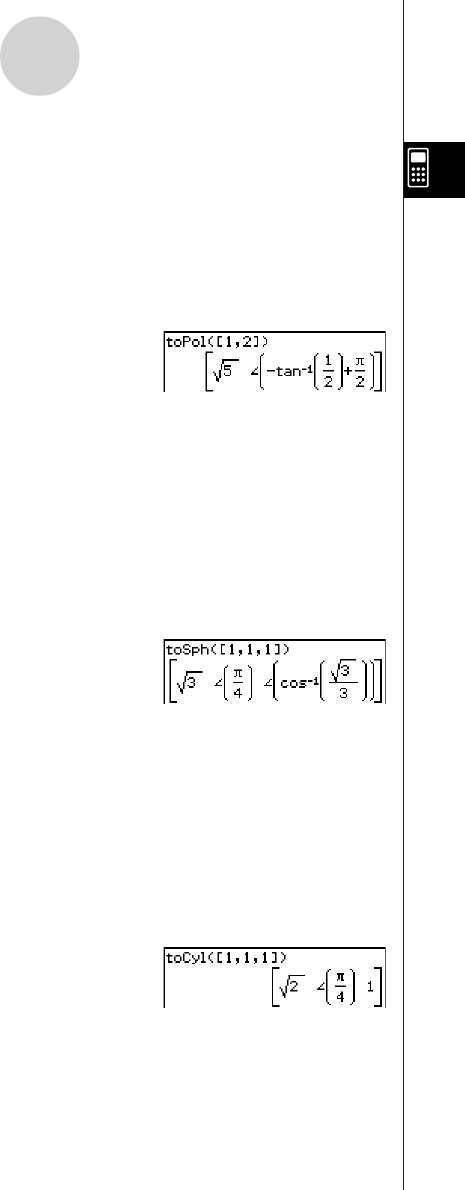
Example: To transform the rectangular form [1,2] into its equivalent polar form
Menu Item: [Action][Vector][toPol]
uu
uu
u toSph
Function: Returns an equivalent spherical form [
ρ
∠
θ
∠
φ
].
Syntax: toSph (Mat [,natural number] [
)
]
• This command can be used with a 1 × 3 or 3 × 1 matrix only.
• This command returns “
ρ
” when “natural number” is 1, “
θ
” when “natural number” is 2,
and “
φ
” when “natural number” is 3.
• This command returns a spherical form when you omit “natural number”.
Example: To transform the rectangular form [1,1,1] into its equivalent spherical form
(in the Radian mode)
Menu Item: [Action][Vector][toSph]
uu
uu
u toCyl
Function: Returns an equivalent cylindrical form [r∠
θ
z]
Syntax: toCyl (Mat [,natural number] [
)
]
• This command can be used with a 1 × 3 or 3 × 1 matrix only.
• This command returns “r” when “natural number” is 1, “
θ
” when “natural number” is 2,
and “z” when “natural number” is 3.
• This command returns a cylindrical form when you omit “natural number”.
Example: To transform the rectangular form [1,1,1] into an equivalent cylindrical form
(in the Radian mode)
Menu Item: [Action][Vector][toCyl]
2-7-36
Using the Action Menu










