User manual - EXZ280_MF_FB_na
Table Of Contents
- Déballage
- Prière de lire ceci en premier !
- Sommaire
- Guide général
- Contenu de l’écran de contrôle
- Démarrage rapide
- Qu’est-ce qu’un appareil photo numérique ?
- Que pouvez-vous faire avec votre appareil photo CASIO ?
- Avant d’utiliser l’appareil photo, chargez la batterie.
- Configuration des réglages de base lors de la première mise sous tension de l’appareil photo
- Préparation d’une carte mémoire
- Mise en et hors service de l’appareil photo
- Pour prendre une photo
- Prise en main correcte de l’appareil photo
- Visionnage de photos
- Suppression d’images
- Précautions concernant la prise de photos
- Tutoriel pour la prise de photos
- Utilisation du panneau de commande
- Changement de la taille de l’image (Taille)
- Utilisation du flash (Flash)
- Spécification de la zone d’autofocus (Zone AF)
- Spécification de la sensibilité ISO (ISO)
- Utilisation de l’obturation en continu (Continu)
- Utilisation de la détection de visages (Détection vsgs)
- Prise de vue avec le mode Maquiller (Maquiller)
- Utilisation du mode easy
- Changement du style de date et d’heure sur le panneau de commande
- Prise de vue avec le zoom
- Enregistrement d’images vidéo et du son
- Utilisation de BEST SHOT
- Réglages avancés
- Utilisation des menus affichés à l’écran
- Paramètres du mode REC (REC)
- Sélection d’un mode de mise au point (Mise au point)
- Utilisation de l’obturation en continu (Continu)
- Utilisation du retardateur (Retardateur)
- Utilisation de l’obturation automatique (Obturation auto)
- Prise de vue avec détection de visages (Détection vsgs)
- Réduction du flou dû au bougé de l’appareil photo et du sujet (Antibougé)
- Spécification de la zone d’autofocus (Zone AF)
- Changement de la forme du cadre de mise au point (Cadre mise/pt)
- Mise en et hors service du zoom numérique (Zoom numérique)
- Attribution de fonctions aux touches [<] et [>] (Touche G/D)
- Prise de vue avec l’obturation rapide (Obt. rapide)
- Utilisation du mode easy (Mode easy)
- Affichage d’une grille sur l’écran (Grille)
- Mise en service de la revue d’image (Revue)
- Utilisation du guide d’icônes (Guide Icônes)
- Configuration des réglages par défaut à la mise en service (Mémoire)
- Réglages de la qualité de l’image (Qualité)
- Spécification de la taille de l’image (Taille)
- Spécification de la qualité de l’image d’une photo (Qualité (Photo))
- Spécification de la qualité de l’image d’une séquence vidéo (Qualité (Séquence))
- Correction de la luminosité de l’image (Modif EV)
- Contrôle de la balance des blancs (Balance blancs)
- Spécification de la sensibilité (ISO)
- Spécification du mode de mesure de la lumière (Mesure Lumière)
- Correction de la luminosité de l’image (Éclairage)
- Utilisation des filtres couleur intégrés (Filtre couleur)
- Contrôle de la netteté des images (Netteté)
- Contrôle de la saturation des couleurs (Saturation)
- Réglage du contraste de l’image (Contraste)
- Spécification de l’intensité du flash (Intensité flash)
- Affichage de photos et de séquences vidéo
- Autres fonctions de lecture (PLAY)
- Affichage d’un diaporama sur l’appareil photo (Diaporama)
- Présentation de photos avec Impression de présentation (Présentation photos)
- Création d’une photo à partir d’images d’une séquence vidéo (MOTION PRINT)
- Édition d’une séquence vidéo sur l’appareil photo (Edition séquence)
- Correction de la luminosité de l’image (Éclairage)
- Utilisation de la correction des yeux rouges (Yeux rouges)
- Réglage de la balance des blancs (Balance blancs)
- Changement de la luminosité d’une photo existante (Luminosité)
- Correction de la distorsion en trapèze (Trapèze)
- Utilisation de la correction de couleur pour rectifier la couleur d’une vieille photo (Correct. couleur)
- Sélection de photos pour l’impression (Impr. DPOF)
- Protection d’un fichier (Protéger)
- Changement de la date et de l’heure d’une image (Date/Heure)
- Rotation d’une image (Rotation)
- Redimensionnement d’une photo (Redimensionner)
- Détourage d’une photo (Rogner)
- Addition de son à une photo (Doublage)
- Copie de fichiers (Copie)
- Photo dynamique
- Impression
- Utilisation de l’appareil photo avec un ordinateur
- Autres réglages (Réglage)
- Affichage du panneau de commande du mode REC (_ Panneau)
- Sélection d’une disposition d’icônes pour l’écran du mode PLAY (> Afficher)
- Réglage des paramètres des sons de l’appareil photo (Sons)
- Spécification de l’image d’ouverture (Ouverture)
- Spécification de la règle de génération des nombres dans les noms de fichiers (No. fichier)
- Réglage des paramètres de l’heure universelle (Heure univers)
- Horodatage des photos (Horodatage)
- Réglage de l’horloge de l’appareil photo (Régler)
- Spécification du style de la date (Style date)
- Changement de la langue de l’affichage (Language)
- Réglage des paramètres de la mise en veille (Veille)
- Réglage des paramètres de l’arrêt automatique (Arrêt auto)
- Réglage des paramètres [_] et [>] (REC/PLAY)
- Réglage des paramètres du protocole USB (USB)
- Sélection du format d’écran et du système de sortie vidéo (Sortie vidéo)
- Formatage de la mémoire de l’appareil photo ou d’une carte mémoire (Formater)
- Rétablissement des réglages par défaut de l’appareil photo (Réinitialiser)
- Configuration des paramètres de l’écran de contrôle
- Appendice
- Précautions à prendre pendant l’emploi
- Alimentation
- Utilisation d’une carte mémoire
- Configuration système requise pour le logiciel fourni (CD-ROM fourni)
- Réglages par défaut après la réinitialisation
- Quand un problème se présente...
- Nombre de photos/Temps d’enregistrement de séquences/ Temps d’enregistrement de la voix
- Fiche technique

138
Utilisation de l’appareil photo avec un ordinateur
L’appareil photo stocke les images prises selon le système DCF (Design Rule for
Camera File).
. À propos du système DCF
Le système DCF est une norme permettant d’afficher et d’imprimer les images
enregistrées sur un appareil photo d’une marque sur des périphériques d’autres
marques dans la mesure où ils sont compatibles avec la norme DCF. Vous pouvez
transférer des images conformes au DCF mais enregistrées avec un autre appareil
photo sur cet appareil photo et les voir sur son écran.
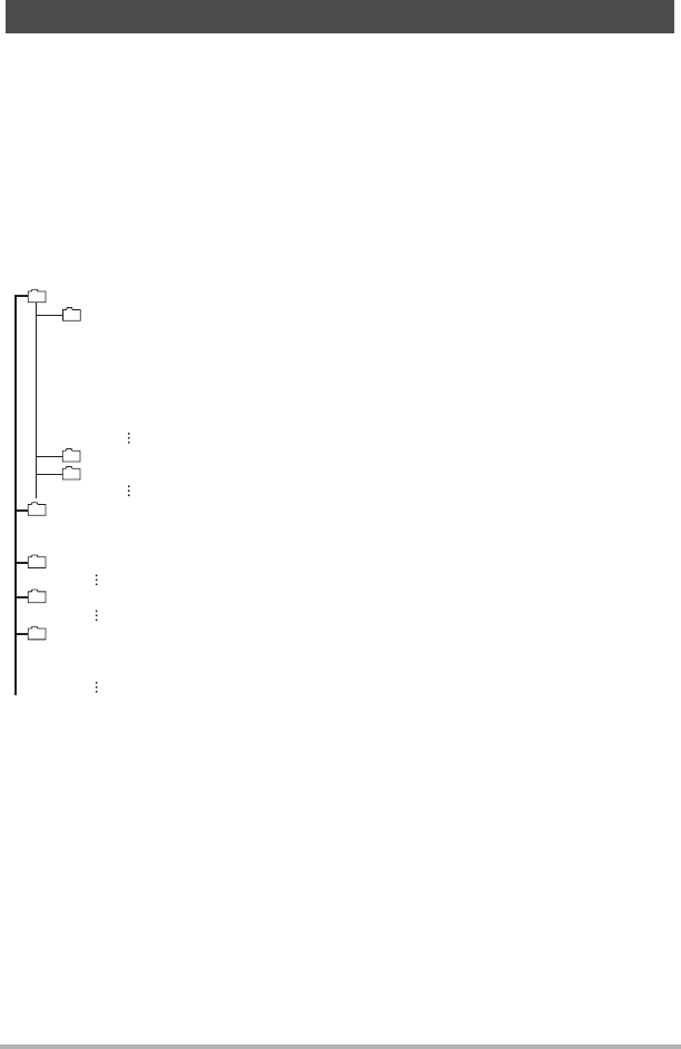
. Structure des dossiers de la mémoire
Dossier DCIM
Dossier d’enregistrement
Fichier d’image
Fichier de séquence vidéo
Fichier son
Fichier image de photo avec son
Fichier son de photo avec son
Fichier d’image sujet
Dossier d’enregistrement
Dossier d’enregistrement
Dossier de fichiers DPOF
Fichier DPOF
Dossier de configuration personnelle de photo BEST SHOT
Dossier de configuration personnelle de séquence vidéo BEST SHOT
Dossier de musique de fond
Fichier de musique de fond
Fichier de musique de fond
Fichier d’écran d’ouverture
*1 D’autres dossiers sont créés lorsque les scènes BEST SHOT suivantes sont utilisées
pour la prise de vue : « For eBay » ou « Enchères » (le nom de scène dépend de
l’appareil photo) ou « For YouTube ». Le nom de dossier créé pour chaque scène est le
suivant :
• Scène eBay : 100_EBAY
• Scène Enchères : 100_AUCT
• Scène YouTube : 100YOUTB
*2 Ce dossier ou fichier ne peut être créé que dans la mémoire de l’appareil photo.
Données d’une carte mémoire
DCIM
100CASIO
*
1
CIMG0001.JPG
CIMG0002.AVI
CIMG0003.WAV
CIMG0004.JPG
CIMG0004.WAV
101CASIO
*
1
102CASIO
*
1
MISC
AUTPRINT.MRK
SCENE
*
2
MSCENE
*
2
SSBGM
SSBGM001.WAV
SSBGM002.WAV
STARTING.JPG
*
2
CIMG0005.JPE