User Manual
Manuals
Brands
CASIO Manuals
Pocket Viewers
SF-3905A
1
2
3
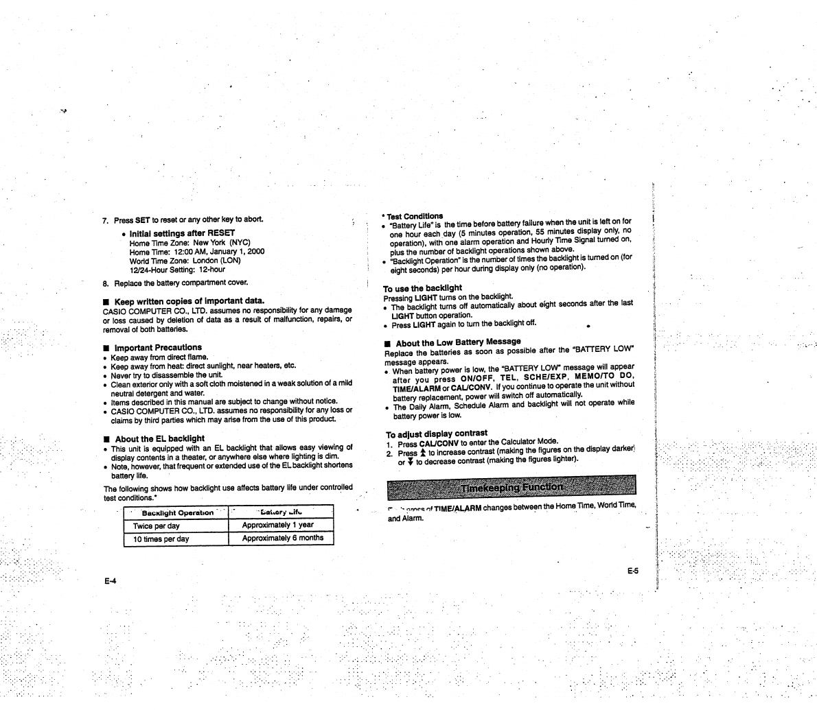
4
5
6
7
8
9
10
Table Of Contents
1
...
2
3
4
5
6
...
...
15