Telescope Instruction Manual
Manuals
Brands
Celestron Manuals
Telescope
C4.5
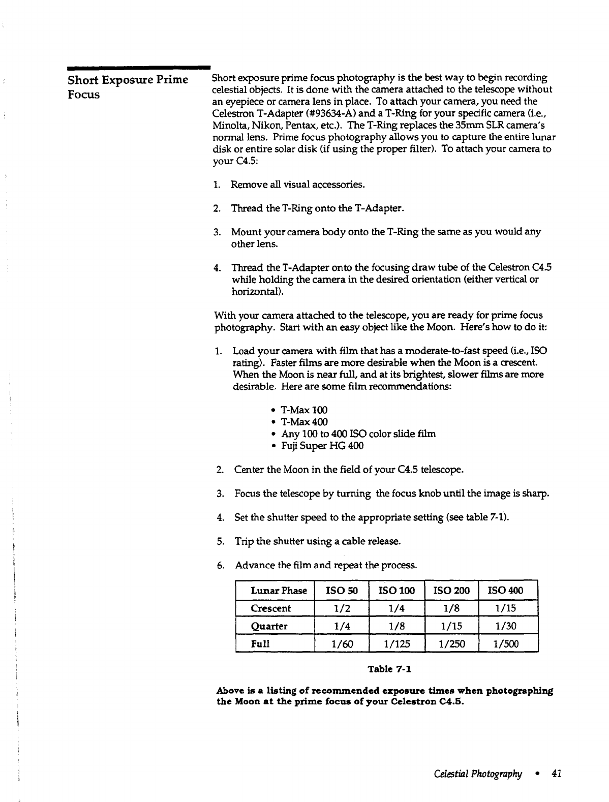
41
42
43
44
45
46
47
48
49
50
1
...
...
41
42
43
44
45
...
...
60