User`s manual
Table Of Contents
- 535 User's Manual
- Table of Contents
- Chapter 1: Introduction
- Chapter 2: Basic Interface
- Chapter 3: Installation
- Chapter 4: Hardware Set Up
- Chapter 5: Software Configuration
- Chapter 6: Tuning
- Chapter 7: Applications
- Control Type
- Alarms
- Duplex Control
- Slidewire Position Proportioning Control
- Velocity Position Proportioning Control
- Staged Outputs
- Retransmission
- Digital Inputs
- Remote Setpoint
- Multiple Setpoints
- Multiple Sets of PID Values
- POWERBACK
- Self Tune–POWERTUNE®
- Ramp-To-Setpoint
- Input Linearization
- Load Line
- Security
- Reset Inhibition
- Process Variable Reading Correction
- Serial Communications
- Cascade Control
- Ratio Control
- Appendix 1: Menu Flowcharts
- Appendix 2: Parts List
- Appendix 3: Troubleshooting
- Appendix 4: Calibration
- Appendix 5: Specifications
- Appendix 6: Glossary
- Appendix 7: Isolation Block Diagram
- Return Procedures and Warranty Information
- 500 Series Process Controllers User's Manual

96 Chapter 7 535 User's Manual
Applications
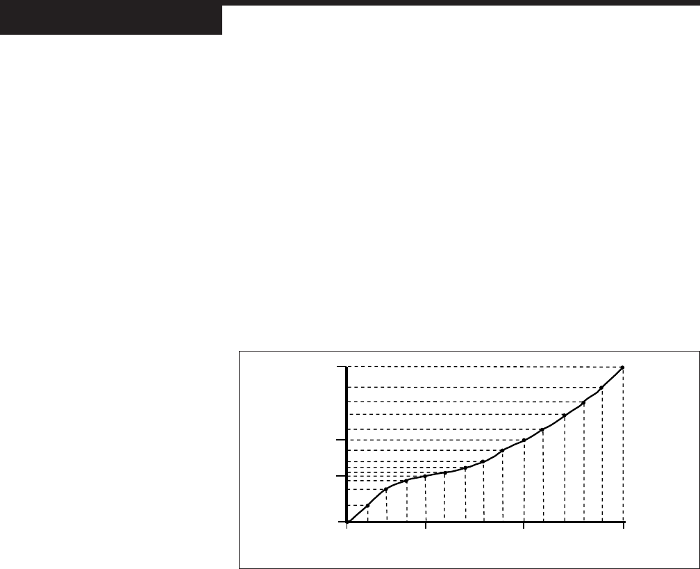
Figure 7.17
15-point Linearization Curve
5th
1st
10th
15th
1st
5th
10th
15th
PV VALUE in engineering units
INPUT VALUE in milliamps or voltage
the signal must be calculated. The 535 has the capability to perform this square
root linearization.
For the first 1% of the input span, the input is treated in a linear fashion. Then
it is a calculated value, using the formula in Figure 7.16.
Hardware Configuration
• A voltage or milliamp input must be installed on the controller.
Software Configuration
1. Go to the PV INPUT menu.
2. Set LINEARIZE to SQR. ROOT.
Custom Linearization
Custom linearization allows virtually any nonlinear signal to be linearized using
a 15-point straight line approximation curve (see Figure 7.17). Typical
applications are linearizing signals from nonlinear transducers, or controlling
volume based on level readings for irregularly-shaped vessels. To define the
function, enter data point pairs—the engineering units corresponding to a
particular voltage or current input.
Software Configuration
1. Go to the PV INPUT menu.
2. Set the parameter LINEARIZE to CUSTOM.
3. Go to the CUST. LINR. menu.
4. Enter values for the 1ST INPUT and 1ST PV data points. All the input
parameters define the actual milliamp or voltage input. All the PV parameters
define the corresponding process variable value in engineering units.
It is not necessary to use all 15 points. Whenever the XTH INPUT becomes
the high end of the input range, that will be the last point in the table.
Once the various points are defined, the values between the points are










