
Installation
IMI
66-097
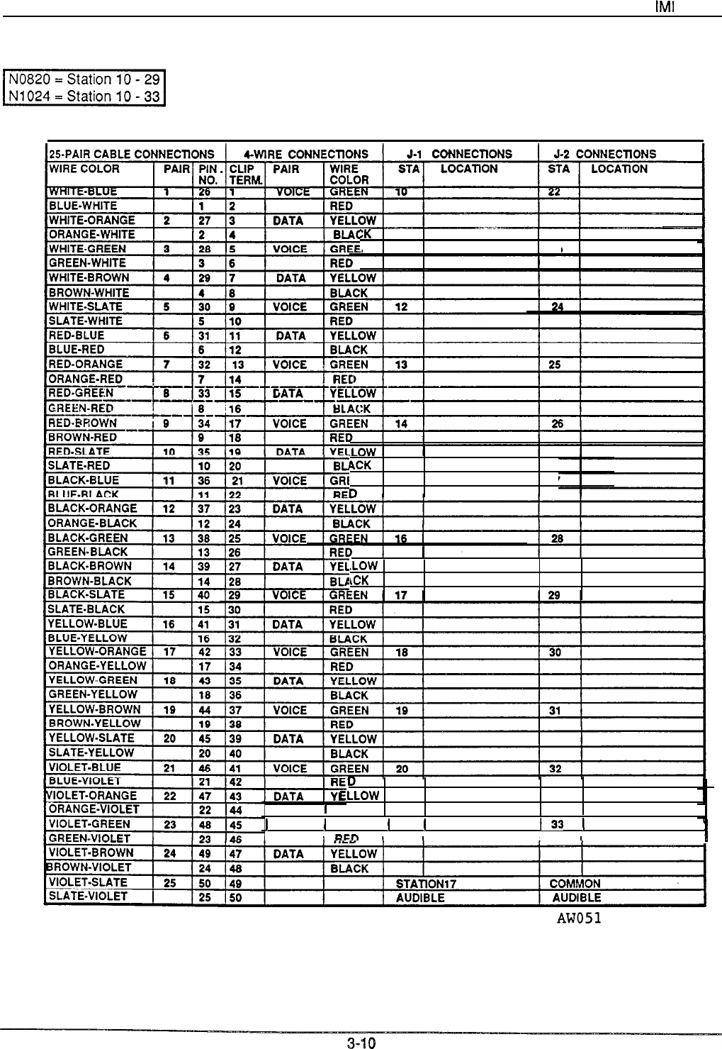
Table 3-2. Statlon Connections
:K
N
11
23
9CK
EEN 15
27
D
.LOW
rCK
D
,
-LLOW
I
1
BLACK
1
VOICE
(
GREEN
1
21
(
133
1
I
I
RFn
I
I
I
I
I
AWO51
Note : Station ports 26 and 28 are universal ports.
they support either
proprietary telephones or industry-standard telephones.