Users Guide
Table Of Contents
- Integrated Dell Remote Access Controller 6 (iDRAC6) Enterprise for Blade Servers version 3.5
- Guide d'utilisation
- Table des matières
- Présentation d'iDRAC6 Enterprise
- Nouveautés de cette version
- Certification « IPv6 Ready Logo »
- Fonctionnalités de sécurité iDRAC6
- iDRAC6 Enterprise et média vFlash
- Plate-formes prises en charge
- Systèmes d'exploitation pris en charge
- Navigateurs Web pris en charge
- Connexions d'accès à distance prises en charge
- Ports iDRAC6
- Autres documents utiles
- Accès aux documents depuis le site de support Dell
- Configuration d'iDRAC6 Enterprise
- Avant de commencer
- Interfaces de configuration d'iDRAC6
- Tâches de configuration
- Configurer la station de gestion
- Configurer la mise en réseau iDRAC6
- Configurer les utilisateurs iDRAC6
- Configurer les services d'annuaire
- Configurer le filtrage IP et le blocage IP
- Configurer les événements sur plateforme
- Activation ou désactivation de l'accès à la configuration locale
- Configurer les services iDRAC6
- Configurer le protocole Secure Sockets Layer (SSL)
- Configurer le média virtuel
- Configurer une carte de média vFlash
- Installer le logiciel Managed Server
- Configurer le serveur géré pour la fonctionnalité Écran de la dernière panne
- Configuration des paramètres réseau via l'interface Web CMC
- Visualisation des connexions de structure des cartes mezzanines FlexAddress
- Syslog distant
- Périphérique de démarrage initial
- Partage de fichiers à distance
- Module SD interne double
- Mise à jour du micrologiciel iDRAC6
- Téléchargement du micrologiciel ou du progiciel de mise à jour
- Exécution de la mise à jour du micrologiciel
- Vérification de la signature numérique pour les DUP Linux.
- Utilisation de l'interface Web iDRAC6
- Mise à jour du micrologiciel iDRAC6 via la RACADM
- Utilisation de l'utilitaire de mise à jour DOS
- Utilisation de l'interface WSMAN
- Mise à jour du progiciel de réparation de l'USC
- Configuration d'iDRAC6 pour l'utiliser avec IT Assistant
- Utilisation de l'utilitaire de configuration iDRAC6 pour activer la découverte et la surveillance
- Utilisation de l'interface Web iDRAC6 pour activer la découverte et la surveillance
- Utilisation d'IT Assistant pour afficher la condition et les événements iDRAC6
- Configuration de la station de gestion
- Étapes de configuration de la station de gestion
- Impératifs de réseau de la station de gestion
- Configuration d'un navigateur Web pris en charge
- Ouverture de votre navigateur Web
- Configuration de votre navigateur Web pour la connexion à l'interface Web
- Ajout d'iDRAC6 à la liste des domaines de confiance
- Affichage des versions localisées de l'interface Web
- Configuration des paramètres régionaux sous Linux
- Désactivation de la fonctionnalité de liste blanche dans Firefox
- Installation du logiciel iDRAC6 sur la station de gestion
- Installation d'un environnement d'exécution Java (JRE)
- Installation de clients Telnet ou SSH
- Installation d'un serveur TFTP
- Installation de Dell OpenManage IT Assistant
- Installation de Dell Management Console
- Configuration du serveur géré
- Configuration d'iDRAC6 Enterprise via l'interface Web
- Accès à l'interface Web
- Configuration du NIC de l'iDRAC6
- Configuration des événements sur plateforme
- Configuration d'IPMI sur le LAN
- Ajout et configuration d'utilisateurs iDRAC6
- Sécurisation des communications iDRAC6 à l'aide de certificats SSL et numériques
- Configuration et gestion des certificats Microsoft Active Directory
- Activation ou désactivation de l'accès à la configuration locale
- Configuration des services iDRAC6
- Mise à jour du micrologiciel iDRAC6
- Utilisation du service d'annuaire iDRAC6
- Utilisation d'iDRAC6 avec Microsoft Active Directory
- Spécifications pour l'activation de l'authentification Active Directory pour iDRAC6
- Mécanismes d'authentification Active Directory pris en charge
- Présentation d'Active Directory avec le schéma étendu
- Configuration du schéma étendu d'Active Directory pour accéder à l'iDRAC6
- Extension du schéma Active Directory
- Installation de l'extension Dell sur le snap-in Utilisateurs et ordinateurs Active Directory
- Ajout d'utilisateurs iDRAC6 et de leurs privilèges à Active Directory
- Configuration de Microsoft Active Directory avec le schéma étendu via l'interface Web iDRAC6
- Configuration d'Active Directory avec le schéma étendu via la RACADM
- Présentation d'Active Directory avec le schéma standard
- Configuration du schéma standard d'Active Directory pour accéder à iDRAC6
- Test de vos configurations
- Utilisation d'iDRAC6 avec le service d'annuaire LDAP
- Questions les plus fréquentes
- Configuration d'iDRAC6 pour la connexion directe et l'ouverture de session par carte à puce
- À propos de l'authentification Kerberos
- Conditions requises en vue de la connexion directe et de l'authentification par carte à puce Active Directory
- Utilisation de la fonctionnalité SSO Active Directory
- Configuration de l'authentification par carte à puce
- Configuration de l'ouverture de session par carte à puce sur iDRAC6
- Ouverture de session iDRAC6 via l'authentification par carte à puce Active Directory
- Questions les plus fréquentes concernant la connexion directe
- Dépannage de l'ouverture de session par carte à puce dans iDRAC6
- Visualisation de la configuration et de l'intégrité du serveur géré
- Configuration et utilisation des communications série sur le LAN
- Activation des communications série sur le LAN dans le BIOS
- Configuration des communications série sur le LAN dans l'interface utilisateur Web iDRAC6
- Utilisation des communications série sur le LAN (SOL)
- Modèle pour rediriger SOL sur Telnet ou SSH
- Modèle pour le proxy SOL
- Modèle pour rediriger SOL sur IMPItool
- Déconnexion d'une session SOL dans la console de ligne de commande iDRAC6
- Utilisation de SOL sur PuTTY
- Utilisation de SOL sur Telnet avec Linux
- Utilisation de SOL sur OpenSSH avec Linux
- Utilisation de SOL sur IPMItool
- Ouverture de SOL avec le proxy SOL
- Configuration du système d'exploitation
- Utilisation de la console virtuelle de l'interface utilisateur
- Présentation
- Utilisation de la console virtuelle
- Effacer la mémoire cache de votre navigateur
- Résolutions d'écran prises en charge et taux de rafraîchissement
- Configuration de la station de gestion
- Configuration de la console virtuelle et du média virtuel dans l'interface Web iDRAC6
- Ouverture d'une session Console virtuelle
- Aperçu de la console virtuelle
- Utilisation de Video Viewer
- Lancement de la console virtuelle et du média virtuel à distance
- Questions les plus fréquentes
- Configuration de la carte SD vFlash et gestion des partitions vFlash
- Installation d'une carte SD vFlash ou standard
- Configuration de la carte SD vFlash ou standard via la RACADM
- Gestion des partitions vFlash via l'interface Web iDRAC6
- Création d'une partition vide
- Création d'une partition à l'aide d'un fichier image
- Formatage d'une partition
- Affichage des partitions disponibles
- Modification d'une partition
- Connexion et déconnexion d'une partition
- Suppression de partitions existantes
- Téléchargement du contenu d'une partition
- Démarrage à partir d'une partition
- Gestion de partitions vFlash via la RACADM
- Questions les plus fréquentes
- Configuration et utilisation du média virtuel
- Utilisation de l'interface de ligne de commande RACADM
- Sous-commandes RACADM
- Utilisation de commandes RACADM locales
- Utilisation de l'utilitaire RACADM pour configurer iDRAC6
- Affichage des paramètres iDRAC6 actuels
- Gestion des utilisateurs iDRAC6 avec la RACADM
- Ajout d'un utilisateur iDRAC6
- Activation d'un utilisateur iDRAC6 avec des droits
- Téléversement, affichage et suppression de clés SSH avec la RACADM
- Suppression d'un utilisateur iDRAC6
- Test des alertes par e-mail
- Test de la fonctionnalité d'alertes par interruption SNMP iDRAC6
- Configuration des propriétés réseau iDRAC6
- Configuration d'IPMI sur le LAN
- Configuration de PEF
- Configuration du PET
- Configuration du filtrage IP (plage IP)
- Configuration du blocage IP
- Configuration de services Telnet et SSH iDRAC6 via la RACADM locale
- RACADM distante et SSH/Telnet
- Utilisation d'un fichier de configuration iDRAC6
- Configuration de plusieurs iDRAC6
- Contrôle et gestion de l'alimentation
- Utilisation d'iDRAC6 Enterprise Interface de ligne de commande SM-CLP
- Utilisation de l'interface WS-MAN
- Déploiement de votre système d'exploitation via iVMCLI
- Utilisation de l'utilitaire de configuration iDRAC6
- Récupération et dépannage du système géré
- La sécurité d'abord : Pour vous et votre système
- Voyants inhérents aux problèmes
- Outils de résolution des problèmes
- Vérification de l'intégrité du système
- Vérification du journal des événements système (SEL)
- Vérification des codes POST
- Affichage de l'écran du dernier plantage système
- Visualisation des dernières séquences d'amorçage
- Visualisation et ajout de notes de travail
- Vérification des messages d'erreur dans l'écran de condition du serveur
- Affichage du journal iDRAC6
- Affichage des informations système
- Identification du serveur géré dans le châssis
- Utilisation de la console de diagnostics
- Gestion de l'alimentation d'un système distant
- Dépannage et questions les plus fréquentes
- Index

142
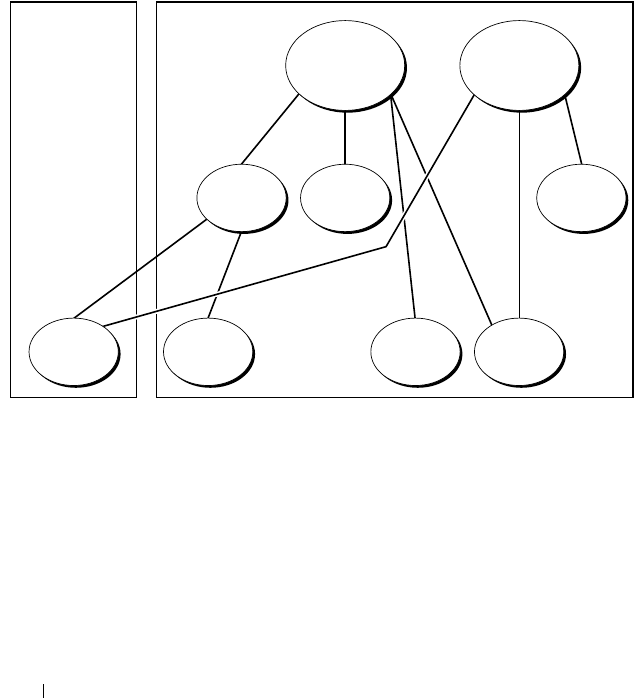
Utilisation du service d'annuaire iDRAC6
Accumulation de privilèges à l'aide du schéma étendu
Le mécanisme d'authentification du schéma étendu prend en charge
l'accumulation de privilèges depuis différents objets Privilège associés au
même utilisateur via différents objets Association. En d'autres termes,
l'authentification du schéma étendu accumule les privilèges pour accorder à
l'utilisateur le super ensemble de tous les privilèges attribués correspondant
aux différents objets Privilège associés au même utilisateur.
Figure 6-2 fournit un exemple d'accumulation de privilèges à l'aide du schéma
étendu.
Figure 6-2. Accumulation de privilèges pour un utilisateur
La figure illustre deux objets Association : A01 et A02. Utilisateur1 est associé
à iDRAC2 via les deux objets Association. Par conséquent, Utilisateur1 a
accumulé des privilèges résultant de l'association de l'ensemble des privilèges
pour les objets Priv1 et Priv2 sur iDRAC2.
Par exemple, Priv1 possède les privilèges Ouvrir une session, Média virtuel et
Effacer les journaux, et Privr2 a les privilèges Ouvrir une session sur iDRAC,
Configurer iDRAC et Alertes test. Par conséquent, Utilisateur1 a désormais
l'ensemble des privilèges Ouvrir une session iDRAC, Média virtuel,
Effacer les journaux, Configurer iDRAC et Tester les alertes, correspondant à
l'ensemble de privilèges associé de Priv1 et Priv2.
A01 A02
Groupe1 Priv1
Priv2
Utilisateur1 Utilisateur2 iDRAC1 iDRAC2
Domaine 2Domaine 1










