Service manual
Table Of Contents
- EPSON Stylus CX3100/3200
- PRODUCT DESCRIPTION
- Operating Principles
- Troubleshooting
- Disassembly and Assembly
- Adjustment
- 5.1 Overview
- 5.2 Adjustment by Adjustment Program
- 5.2.1 Adjustment Program Installation
- 5.2.2 Adjustment Program Start
- 5.2.3 Destination Setting (EEPROM Initialization)
- 5.2.4 Head ID Input
- 5.2.5 Bi-D Adjustment
- 5.2.6 USB ID Input
- 5.2.7 Top Margin Adjustment
- 5.2.8 First Dot Position Adjustment
- 5.2.9 Head Cleaning
- 5.2.10 Ink Charge
- 5.2.11 Protection Counter
- 5.2.12 EEPROM Data Backup
- 5.2.13 Check Pattern Printing
- 5.2.14 EEPROM Data
- 5.3 Firmware Uploading
- Maintenance
- Appendix

Stylus Photo 720 Revision B
Troubleshooting Troubleshooting at Unit Level 22
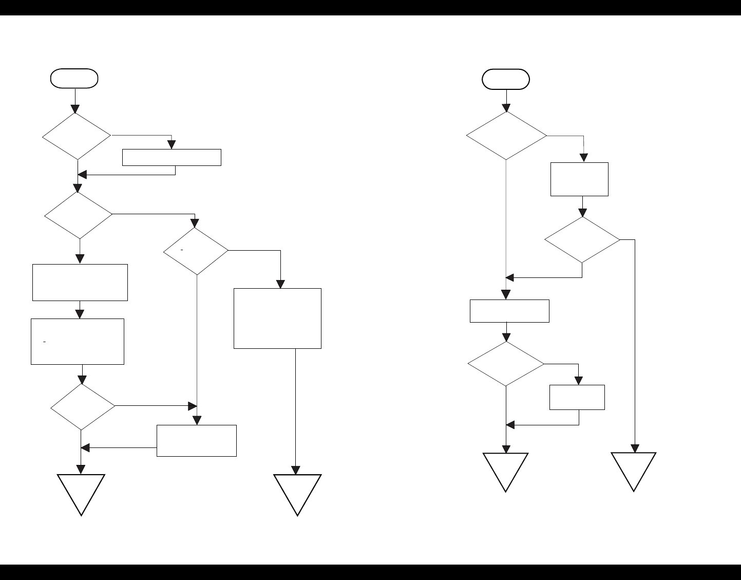
3.1.4 Paper feeding is not normally carried out
Flowchart 3-4.
3.1.5 Operation Panel faulty
Flowchart 3-5.
Start
Paper is
correctly set in
ASF?
Set paper correctly.
Paper loading
roller and PF roller
are correctly
rotating?
PF motor is
driving?
No
No
No
Yes
Check whether connector
of PF motor is connected
to CN7 of main board. If
it is connected properly,
replace main board.
Yes
Remove foreign matters,
if any, from paper route.
Clean rollers on paper
route. (Refer to
“Maintenance” on
page 74)
Problem is
solved?
Refer to Table 3-5
Yes
No
End
End
Yes
Operation
Panel is connected
properly with
cable?
Start
No
No
No
Yes
Yes
Yes
End
Problem is
solved?
Replace operation
panel.
Problem is
solved?
Connect correctly
Operation panel
again.
Replace main
board.
End