Service manual
Table Of Contents
- EPSON Stylus PHOTO RX500/510
- Product Description
- Operating Principles
- Troubleshooting
- Disassembly and Assembly
- Adjustment
- Maintenance
- Appendix

EPSON Stylus PHOTO RX500/510 Revision C
Troubleshooting Troubleshooting at Unit Level 22
3.2.1 Printer / Scanner does not operate at all
even with power turned on
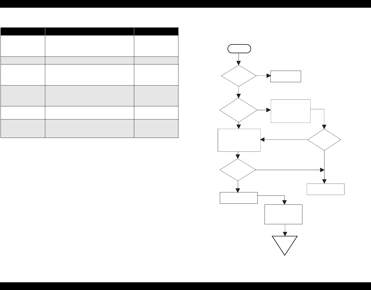
Figure 3-2. Flowchart-1
Table 3-2. Observations and Troubleshooting Flowcharts
Observation Details Refer to
Power is on but not
operating
• LED does not turn on at all.
• Printer mechanism does not operate at all.
• Scanner mechanism does not operate at all.
Figure 3-2
Error is detected • LCD/LED panel shows error status. Figure 3-3
Trouble related to
print
• Printing is not done.
• Print is abnormal (Dot missing, etc.).
• Print quality is bad.
Figure 3-4
Paper feeding is not
normally carried out.
• Paper feeding is not done.
• Paper jam occurs.
• Paper start up position is not correct.
Figure 3-5
Faulty operation
panel
• Pressing a button does not work.
Figure 3-6
Trouble related to
scanner
• Scanner does not operate normally. Refer to “3.4
Troubleshooting for
Scanner” (p32)
Start
AC power /
voltage
is normal?
No
No
No
No
Yes
Yes
Yes
Yes
End
Input normal
power.
Fuse (F1) of power
board is blown?
Replace fuse.
Disconnect CN10 of
main board and turn
power on again.
Fuse is blown
again?
Check output voltage of
power board CN2.
Power board
output voltage is
normal?
Replace main board
Check motors, head
and other parts
Replace power board
Start
AC power /
voltage
is normal?
No
No
No
No
Yes
Yes
Yes
Yes
End
Input normal
power.
Fuse (F1) of
power board is
blown?
Replace fuse.
Disconnect CN3 of
main board and turn
power on again.
Fuse is blown
again?
Check output voltage of
power board CN2.
Power board
output voltage is
normal?
Replace main board
Check motors, head
and other parts
Replace power board