User Guide
40
Service Manual VMH SerieS Heat Controller, Inc.
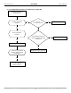
9.3.2.8 Current protection of compressor (ODU P3)
Replace the electrical
control box
Evacuate the refrigerant, then use
high pressure nitrogen or refrigerant
to blow pipe, vacuum and recharge
with refrigerant again
Clean the heat exchanger
Remove all obstructions for proper ventilation
Stop the unit
No
Current protection of compressor
Check whether the input
current of the power supply
wire is more than 12.5A
(For 27K, it is 14.5A, For
36K, it is 20A)
Yes
Yes
Yes
Yes
Check whether the
refrigerant system is ok
Check whether the
outdoor ambient
temperature is higher than
122.4°F (50°C)?
Check whether the outdoor
unit’s airow is obstructed
Check whether the heat
exchanger is dirty
Is the refrigerant
circuit blocked?
No
No
No
Yes
Replace outdoor main
board, and check
whether the system can
run normally
No










