- Hobart Welders Welder User Manual

OM-480 Page 12
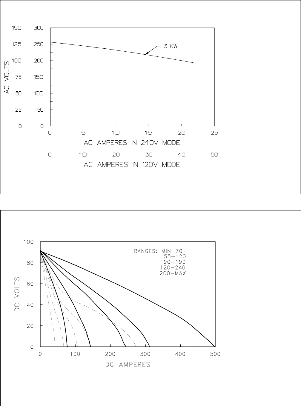
3-5. AC Auxiliary Power
The ac power curve shows the aux-
iliary power in amperes available at
the 120 and 240 volt receptacles.
rsb3.1 2/92 – ST-109 365-C
3-6. Volt-Ampere Curves
ST-183 882
The volt-ampere curve shows the
minimum and maximum voltage
and amperage output capabilities of
the welding generator. Curves of all
other settings fall between the
curves shown.