R3102-R3103-HP 6600/HSR6600 Routers IP Multicast Configuration Guide

Table Of Contents
107
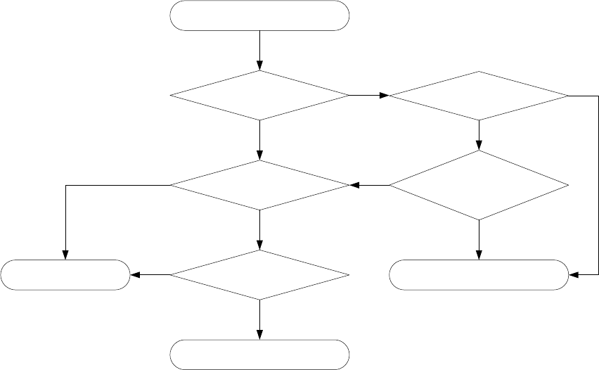
Figure 44 Relationship among PIM protocols
PIM support for VPNs
To support PIM for VPNs, a multicast router that runs PIM maintains an independent set of PIM neighbor
table, multicast routing table, BSR information, and RP-set information for each VPN.
After receiving a multicast data packet, the multicast router checks which VPN the data packet belongs
to, and then forwards the packet according to the multicast routing table for that VPN or creates a
multicast routing entry for that VPN.
Protocols and standards
RFC 3973, Protocol Independent Multicast-Dense Mode (PIM-DM): Protocol Specification(Revised)
RFC 4601, Protocol Independent Multicast-Sparse Mode (PIM-SM): Protocol Specification (Revised)
RFC 5015, Bidirectional Protocol Independent Multicast (BIDIR-PIM)
RFC 5059, Bootstrap Router (BSR) Mechanism for Protocol Independent Multicast (PIM)
RFC 4607, Source-Specific Multicast for IP
Draft-ietf-ssm-overview-05, An Overview of Source-Specific Multicast (SSM)
Configuring PIM-DM
This section describes how to configure PIM-DM.
PIM-DM configuration task list
A receiver joins multicast group G.
G is in the
SSM group range?
BIDIR-PIM runs for G.
BIDIR-PIM is enabled?
G has a BIDIR-PIM RP?
Yes
Yes
Yes
No
PIM-SSM runs for G.
An IGMP-SSM mapping is
configured for G?
PIM-SM runs for G.
A multicast source is
specified?
No
Yes
No
No
No
Yes