R3102-R3103-HP 6600/HSR6600 Routers IP Multicast Configuration Guide
Table Of Contents
- Title Page
- Contents
- Multicast overview
- Configuring IGMP snooping
- Overview
- IGMP snooping configuration task list
- Configuring basic IGMP snooping functions
- Configuring IGMP snooping port functions
- Configuring IGMP snooping querier
- Configuring IGMP snooping proxying
- Configuring IGMP snooping policies
- Configuration prerequisites
- Configuring a multicast group filter
- Configuring multicast source port filtering
- Enabling dropping unknown multicast data
- Enabling IGMP report suppression
- Setting the maximum number of multicast groups that a port can join
- Enabling multicast group replacement
- Setting the 802.1p precedence for IGMP messages
- Enabling the IGMP snooping host tracking function
- Displaying and maintaining IGMP snooping
- IGMP snooping configuration examples
- Troubleshooting IGMP snooping
- Appendix
- Configuring multicast routing and forwarding
- Overview
- Configuration task list
- Enabling IP multicast routing
- Configuring multicast routing and forwarding
- Displaying and maintaining multicast routing and forwarding
- Configuration examples
- Troubleshooting multicast routing and forwarding
- Configuring IGMP
- Overview
- IGMP configuration task list
- Configuring basic IGMP functions
- Adjusting IGMP performance
- Configuring IGMP SSM mapping
- Configuring IGMP proxying
- Displaying and maintaining IGMP
- IGMP configuration examples
- Troubleshooting IGMP
- Configuring PIM
- Overview
- Configuring PIM-DM
- Configuring PIM-SM
- Configuring BIDIR-PIM
- Configuring PIM-SSM
- Configuring common PIM features
- Displaying and maintaining PIM
- PIM configuration examples
- Troubleshooting PIM
- Configuring MSDP
- Overview
- MSDP configuration task list
- Configuring basic MSDP functions
- Configuring an MSDP peer connection
- Configuring SA message related parameters
- Displaying and maintaining MSDP
- MSDP configuration examples
- Troubleshooting MSDP
- Configuring MBGP
- MBGP overview
- Protocols and standards
- MBGP configuration task list
- Configuring basic MBGP functions
- Controlling route advertisement and reception
- Configuration prerequisites
- Configuring MBGP route redistribution
- Configuring default route redistribution into MBGP
- Configuring MBGP route summarization
- Advertising a default route to an IPv4 MBGP peer or peer group
- Configuring outbound MBGP route filtering
- Configuring inbound MBGP route filtering
- Configuring MBGP route dampening
- Configuring MBGP route attributes
- Optimizing MBGP networks
- Configuring a large scale MBGP network
- Displaying and maintaining MBGP
- MBGP configuration example
- Configuring multicast VPN
- Overview
- How MD-VPN works
- Multicast VPN configuration task list
- Configuring MD-VPN
- Configuring BGP MDT
- Specifying the source IP address for multicast across VPNs
- Displaying and maintaining multicast VPN
- Multicast VPN configuration examples
- Troubleshooting MD-VPN
- Configuring IPv6 multicast routing and forwarding
- Overview
- Configuration task list
- Enabling IPv6 multicast routing
- Configuring IPv6 multicast routing and forwarding
- Displaying and maintaining IPv6 multicast routing and forwarding
- IPv6 multicast forwarding over GRE tunnel configuration example
- Troubleshooting abnormal termination of IPv6 multicast data
- Configuring MLD
- Overview
- MLD configuration task list
- Configuring basic MLD functions
- Adjusting MLD performance
- Configuring MLD SSM mapping
- Configuring MLD proxying
- Displaying and maintaining MLD
- MLD configuration examples
- Troubleshooting MLD
- Configuring IPv6 PIM
- Overview
- Configuring IPv6 PIM-DM
- Configuring IPv6 PIM-SM
- Configuring IPv6 BIDIR-PIM
- Configuring IPv6 PIM-SSM
- Configuring common IPv6 PIM features
- Displaying and maintaining IPv6 PIM
- IPv6 PIM configuration examples
- Troubleshooting IPv6 PIM
- Configuring IPv6 MBGP
- Overview
- IPv6 MBGP configuration task list
- Configuring basic IPv6 MBGP functions
- Controlling route distribution and reception
- Configuration prerequisites
- Injecting a local IPv6 MBGP route
- Configuring IPv6 MBGP route redistribution
- Configuring IPv6 MBGP route summarization
- Advertising a default route to a peer or peer group
- Configuring outbound IPv6 MBGP route filtering
- Configuring inbound IPv6 MBGP route filtering
- Configuring IPv6 MBGP route dampening
- Configuring IPv6 MBGP route attributes
- Optimizing IPv6 MBGP networks
- Configuring a large scale IPv6 MBGP network
- Displaying and maintaining IPv6 MBGP
- IPv6 MBGP configuration example
- Configuring PIM snooping
- Configuring multicast VLANs
- Support and other resources
- Index

107
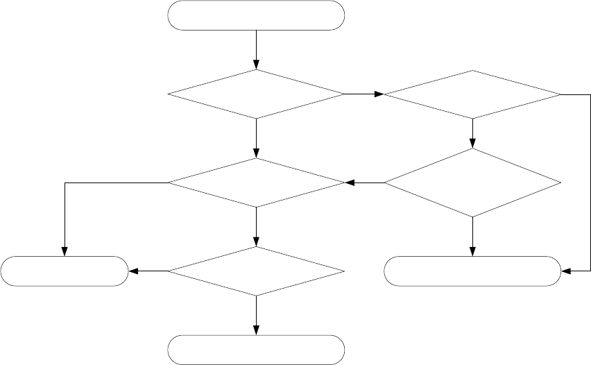
Figure 44 Relationship among PIM protocols
PIM support for VPNs
To support PIM for VPNs, a multicast router that runs PIM maintains an independent set of PIM neighbor
table, multicast routing table, BSR information, and RP-set information for each VPN.
After receiving a multicast data packet, the multicast router checks which VPN the data packet belongs
to, and then forwards the packet according to the multicast routing table for that VPN or creates a
multicast routing entry for that VPN.
Protocols and standards
• RFC 3973, Protocol Independent Multicast-Dense Mode (PIM-DM): Protocol Specification(Revised)
• RFC 4601, Protocol Independent Multicast-Sparse Mode (PIM-SM): Protocol Specification (Revised)
• RFC 5015, Bidirectional Protocol Independent Multicast (BIDIR-PIM)
• RFC 5059, Bootstrap Router (BSR) Mechanism for Protocol Independent Multicast (PIM)
• RFC 4607, Source-Specific Multicast for IP
• Draft-ietf-ssm-overview-05, An Overview of Source-Specific Multicast (SSM)
Configuring PIM-DM
This section describes how to configure PIM-DM.
PIM-DM configuration task list
A receiver joins multicast group G.
G is in the
SSM group range?
BIDIR-PIM runs for G.
BIDIR-PIM is enabled?
G has a BIDIR-PIM RP?
Yes
Yes
Yes
No
PIM-SSM runs for G.
An IGMP-SSM mapping is
configured for G?
PIM-SM runs for G.
A multicast source is
specified?
No
Yes
No
No
No
Yes










