HP StorageWorks Virtual Array 7000 Family User and Service Guide (January 2005)
Table Of Contents
- Warranty Information
- Product Overview
- System Configurations
- Lowest Entry Point, Non-HA Minimum Configuration (VA 7100 only)
- Lowest Entry Point, Non-HA Minimum Configuration (VA 7410)
- Entry Level Non-Cluster With Path Redundancy (All VA arrays)
- Entry Level Cluster with Path Redundancy High Availability (VA 7410)
- Midrange Non-Cluster (All VA arrays)
- Midrange Non-Cluster (VA 7410)
- Midrange Non-Cluster with Full Storage Path Redundancy (All VA Arrays)
- Typical Non-Clustered with Path Redundancy (VA 7410)
- Typical Clustered Configuration (All VA models)
- Typical Clustered Configuration (VA 7410)
- HP-UX MC Service Guard or Windows 2000 Cluster (All VA arrays)
- Highly Redundant Cluster (VA 7410)
- Typical Highly Redundant Cluster (All VA models)
- Typical Highly Redundant Cluster (VA 7410)
- Troubleshooting
- Servicing & Upgrading
- Specifications & Regulatory Statements

108 Servicing & Upgrading
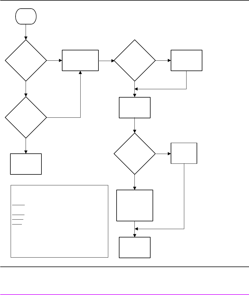
Figure 42 Array Controller Removal & Replacement Flowchart
Shutdown
the Array
Power-On
the Array
Wait 5 min.
for
Auto Clone &
Fast Reset
Resume
I/Os
S
D
Single
or Dual
Controller?
Single
or Dual
Controller?
Remove &
Replace
Controller (3)
Start
Single
or Dual
Controller?
Does
OS Support
Controller
Failover?
(1)
Stop I/Os
to Controller (2)
Remove &
Replace
Controller (3)
S
D
N
Offline
Y Online
S
D
Notes:
(1) Consider the following:
HP-UX
- Is LVM configured with alternate paths OR is
ServiceGuard configured to fail over?
WinNT
- Is controller in a "cluster-safe" environment?
Win2k
- Is AutoPath installed?
Linux
- No Failover Support.
(2) Stop all applications and file systems OR perform
a host shutdown.
(3) Refer to "Removing/Replacing a Controller" in this
chapter.










