HP P9000 Command View Advanced Edition Suite Software 7.3.1-00 Administrator Guide (web)

Table Of Contents
D Device Manager agent properties
This section describes the property files of a Device Manager agent.
Device Manager agent property files
There is a Device Manager agent property file for Device Manager agent operations and a property
file for settings related to the connection between the Device Manager agent and the Replication
Manager server.
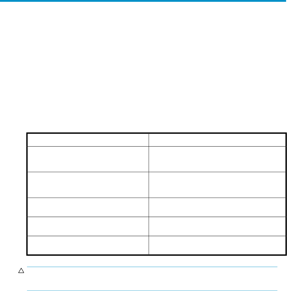
The following table describes the Device Manager agent property files.
Table 146 Device Manager agent property files
DescriptionProperty file
This property file is related to the connection between the
Device Manager agent and the Replication Manager
server.
agent.properties file
This property file is related to the Device Manager agent
operations performed when executing the hldutil
command.
hldutil.properties file
This property file is related to the Device Manager agent
log output.
logger.properties file
This property file is related to the program information of
the Device Manager agent.
programproductinfo.properties file
This property file is related to Device Manager agent
operations.
server.properties file
CAUTION:
The default values are set during a new installation.
Changing Device Manager agent properties
Use a text editor to edit Device Manager agent property files.
Operations to complete in advance
Log in to the system as a member of the Administrators group (in Windows) or as a root (in Unix).
Administrator Guide (Web Version) 393