User guide

- 51 -
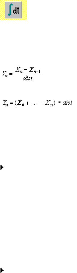
1XPHULFDO%ORFN 'HULYDWLYH,QWHJUDO
The 'HULYDWLYH,QWHJUDO control block is used to integrate data or for calculation of increases in a
measurement data operation.
Calculation of the output values is carried out in accordance with the following formulas:
'HULYDWLRQLQFUHDVH
,QWHJUDODUHD
where
GLVW
is the respective time spacing between two consecutive measured values.
The two functions derivation and integral are implemented in such a way that one after the other
they
are applied to a signal and are then canceled.
Carry out the following instructions:
1. Call up the parameters window by double clicking on the icon.
2. If necessary, enter the
0RGXOH1DPH
of the control block into the "Module Name" text
field.
3. Select the
'HULYDWLYH
or
,QWHJUDO
function.
4. Confirm entries with
2.
.
0XOW LFKDQQHO2SHUDWLRQ
The ports should identifiable for multichannel operation. The ports may be identified for this
purpose.
Carry out the following instructions:
1. Set the
&KDQQHO&RXQW
by clicking the upper arrow keys.
2. Select the channel by clicking the lower arrow keys.
3. Enter the
&KDQQHO'HVLJQDWLRQ
into the text field, i.e. make an entry for each channel
selected.
4. Select 'HULYDWLYH or ,QWHJUDO for the channel selected.