Instruction Manual
Table Of Contents
- E94AYCEP (POWERLINK)
- Contents
- 1 About this documentation
- 2 Safety instructions
- 3 Product description
- 4 Technical data
- 5 Installation
- 6 Commissioning
- 7 Process data transfer
- 8 Monitoring
- 9 Diagnostics
- 10 Error messages
- 10.1 Error messages of the communication module
- 10.1.1 Short overview
- 10.1.2 Possible causes and remedies
- EPL: Lost connection to 9400 [0x00c83100]
- EPL: Memory access error [0x00c85531]
- EPL: Memory: Read error [0x00c85532]
- EPL: Memory: Write error [0x00c85533]
- EPL: Internal watchdog activated [0x00c86010]
- EPL: Internal watchdog activated [0x00c86011]
- EPL: Internal error [0x00c86100]
- EPL: Internal error [0x00c86101]
- EPL: Invalid PDO mapping detected [0x00c86110]
- EPL: Invalid parameter set [0x00c8641f]
- EPL: Lenze setting loaded [0x00c86420]
- EPL: Fieldbus watchdog activated [0x00c88130]
- EPL: DataExchange exited [0x00c88131]
- EPL: Invalid address selected [0x00c88261]
- EPL MN: Network has not been started (bootup-1) [0x00c88263]
- EPL MN: Not all nodes are in the operational status (bootup-2) [0x00c88264]
- EPL: Synchronisation lost from MN [0x00c88265]
- EPL: Defective telegram (CRC) detected [0x00c88266]
- EPL: Failure of a network node [0x00c88267]
- EPL: Cycle time exceeded [0x00c88281]
- EPL: MN address assigned double [0x00c88283]
- EPL: Internal error [0x00c88284]
- 10.2 POWERLINK error messages
- 10.1 Error messages of the communication module
- 11 Parameter reference
- 11.1 Parameters of the standard device that are relevant to communication
- 11.2 Parameters of the communication module for slot MXI1
- C13000 | EPL IP address
- C13001 | EPL IP subnet mask
- C13003 | EPL IP address router
- C13004 | EPL MAC address
- C13027 | EPL MN: Boot behaviour
- C13028 | EPL node declaration CN
- C13029 | EPL node declaration MN
- C13030 | EPL device type
- C13034 | EPL identity object
- C13035 | EPL device type CN
- C13040 | EPL feature flags
- C13041 | EPL version
- C13042 | Current EPL device address
- C13043 | EPL device address selection
- C13044 | EPL device address SW
- C13045 | EPL host name
- C13060 | EPL cycle time
- C13062 | EPL MN: boot timing
- C13063 | EPL MN cycle timing
- C13066 | EPL CN: Max. user data PRes RPDO
- C13067 | EPL MN: time-out isochronous comm. CN
- C13071 | EPL Max. PDO user data RPDO PReq
- C13072 | EPL Max. PDO user data TPDO PRes
- C13074 | EPL multi-stage cycle timing
- C13075 | EPL SDO channel width
- C13078 | EPL CN: Max. time - MN detection
- C13079 | EPL multi-stage node declaration CN
- C13095 | EPL communication status
- C13096 | EPL node status
- C13102 | EPL reset command
- C13103 | EPL NMT command: Enable
- C13104 | EPL NMT command: Command ID
- C13105 | EPL NMT command: Target address
- C13110 | EPL fault memory
- C13115 | EPL MN: Frame error (CRC)
- C13116 | EPL MN: Frame collisions
- C13117 | EPL MN: Cycle time violation
- C13118 | EPL MN: Link interruptions
- C13122 | EPL CN response error
- C13124 | EPL CN response error: monit. thresholds
- C13125 | EPL MN: Break after collisions
- C13126 | EPL CN: Frame collisions
- C13127 | EPL CN: Sync loss
- C13131 | EPL CN: Frame error (CRC)
- C13132 | EPL CN: Link interruptions
- C13136 | EPL telegram counter
- C13203 | EPL CN response error
- C13205 | EPL CN response error: Monit. thresholds
- C13219 | EPL device type MN
- C13225 | EPL MN: Max. user data RPDO
- C13226 | EPL node status MN
- C13228 | EPL time-out isochronous comm.
- C13229 | EPL multi-stage node declaration MN
- C13231 | EPL RPDO
- C13232 | EPL RPDO
- C13233 | EPL RPDO
- C13234 | EPL RPDO
- C13235 | EPL RPDO
- C13236 | EPL RPDO
- C13237 | EPL RPDO
- C13238 | EPL RPDO
- C13239 | EPL RPDO
- C13240 | EPL RPDO
- C13484 | EPL address: RPDO
- C13489 | EPL number RPDO
- C13531 | EPL TPDO
- C13789 | EPL number TPDO
- C13880 | EPL quality lights
- C13881 | EPL reset error counter
- C13882 | EPL reset cycle counter
- C13883 | EPL response when "DataExchange" is quit
- C13885 | EPL data RPDO: error response
- C13891 | EPL module error responses
- C13900 | EPL firmware type
- C13901 | EPL firmware date
- C13902 | EPL firmware version
- C13910 | EPL error code last error
- C13911 | EPL module warning
- C13919 | EPL additional error info
- C13920 | EPL DIP switch
- 11.3 Parameters of the communication module for slot MXI2
- C14000 | EPL IP address
- C14001 | EPL IP subnet mask
- C14003 | EPL IP address router
- C14004 | EPL MAC address
- C14027 | EPL MN: Boot behaviour
- C14028 | EPL node declaration CN
- C14029 | EPL node declaration MN
- C14030 | EPL device type
- C14034 | EPL identity object
- C14035 | EPL device type CN
- C14040 | EPL feature flags
- C14041 | EPL version
- C14042 | Current EPL device address
- C14043 | EPL device address selection
- C14044 | EPL device address SW
- C14045 | EPL host name
- C14060 | EPL cycle time
- C14062 | EPL MN: boot timing
- C14063 | EPL MN cycle timing
- C14066 | EPL CN: Max. user data PRes RPDO
- C14067 | EPL MN: time-out isochronous comm. CN
- C14071 | EPL Max. PDO user data RPDO PReq
- C14072 | EPL Max. PDO user data TPDO PRes
- C14074 | EPL multi-stage cycle timing
- C14075 | EPL SDO channel width
- C14078 | EPL CN: Max. time - MN detection
- C14079 | EPL multi-stage node declaration CN
- C14095 | EPL communication status
- C14096 | EPL node status CN
- C14102 | EPL reset command
- C14103 | EPL NMT command: Enable
- C14104 | EPL NMT command: Command ID
- C14105 | EPL NMT command: Target address
- C14110 | EPL fault memory
- C14115 | EPL MN: Frame error (CRC)
- C14116 | EPL MN: Frame collisions
- C14117 | EPL MN: Cycle time violation
- C14118 | EPL MN: Link interruptions
- C14122 | EPL CN response error
- C14124 | EPL CN response error: monit. thresholds
- C14125 | EPL MN: Break after collisions
- C14126 | EPL CN: Frame collisions
- C14127 | EPL CN: Sync loss
- C14131 | EPL CN: Frame error (CRC)
- C14132 | EPL CN: Link interruptions
- C14136 | EPL telegram counter
- C14203 | EPL CN response error
- C14205 | EPL CN response error: Monit. thresholds
- C14219 | EPL device type MN
- C14225 | EPL MN: Max. user data RPDO
- C14226 | EPL node status MN
- C14228 | EPL time-out isochronous comm.
- C14229 | EPL multi-stage node declaration MN
- C14231 | EPL RPDO
- C14232 | EPL RPDO
- C14233 | EPL RPDO
- C14234 | EPL RPDO
- C14235 | EPL RPDO
- C14236 | EPL RPDO
- C14237 | EPL RPDO
- C14238 | EPL RPDO
- C14239 | EPL RPDO
- C14240 | EPL RPDO
- C14484 | EPL address: RPDO
- C14489 | EPL number RPDO
- C14531 | EPL TPDO
- C14789 | EPL number TPDO
- C14880 | EPL quality lights
- C14881 | EPL reset error counter
- C14882 | EPL reset cycle counter
- C14883 | EPL response when "DataExchange" is quit
- C14885 | EPL data RPDO: error response
- C14891 | EPL module error responses
- C14900 | EPL firmware type
- C14901 | EPL firmware date
- C14902 | EPL firmware version
- C14910 | EPL error code last error
- C14911 | EPL module warning
- C14919 | EPL additional error info
- C14920 | EPL DIP switch
- 11.4 Table of attributes
- 12 POWERLINK objects
- Index
- Your opinion is important to us
- Contents

Lenze · E94AYCEP communication module (POWERLINK MN/CN) · Communication Manual · DMS 6.0 EN · 02/2014 · TD17 54
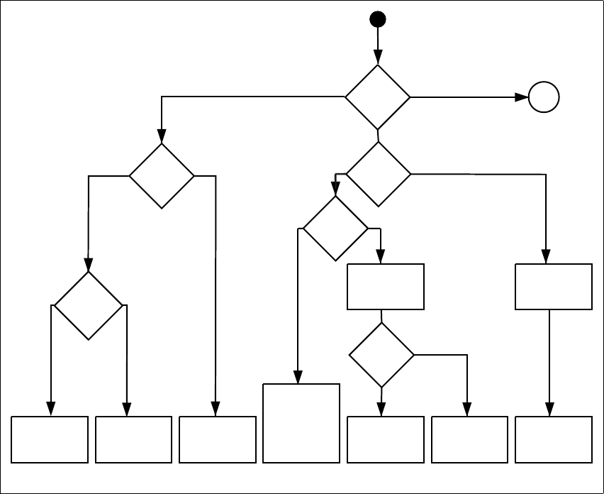
9Diagnostics
9.2 Troubleshooting with module signalling
_ _ _ _ _ _ _ _ _ _ _ _ _ _ _ _ _ _ _ _ _ _ _ _ _ _ _ _ _ _ _ _ _ _ _ _ _ _ _ _ _ _ _ _ _ _ _ _ _ _ _ _ _ _ _ _ _ _ _ _ _ _ _ _
9.2 Troubleshooting with module signalling
In the following, troubleshooting via the module signals will be described.
Please particularly observe ...
• the basic readiness for operation between the standard device and the communication module;
• the network wiring.
[9-1] Diagnostics - standard device / POWERLINK module
E94YCEP051
1. Diagnostics - standard device / EPL module
Standard
device
switched
on?
Module or standard
device defect.
Please exchange.
Module or standard
device defect.
Please exchange.
Module does not
match the standard
device, maybe due
to a version conflict.
Use a suitable
combination.
Switch standard
device on and off
again.
Go back to point 1.
Switch on standard
device.
Go back to point 1.
Go back to point 1.
Go back to point 1.
Switch standard
device on and off
again.
Standard
device
switched
on?
MS
signal?
Module
plugged in
correctly?
Switch on standard
device.
Point 2
DE is lit?
Error still
existent?
yes
no
yes
blinking
no
off
on
no
yes
no
yes
yes
no