Surveillance Systems Consumer Guide
Table Of Contents
- Introduction
- Background to the Technology
- Types of Surveillance Systems
- What is the difference between Local and Remote Network Surveillance?
- How do I configure my gateway/router?
- How to I locate the video devices?
- What is the difference between a Static and Dynamic IP Addresses?
- What is the difference between an internal and an external IP Addresses?
- What is port forwarding?
- What is Domain Name Service (DNS)?
- What does a Dynamic DNS service do?
- Implementing Remove Access
- Glossary
- Conclusion

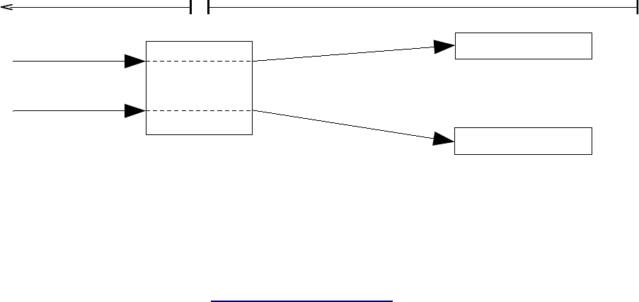
What is port forwarding?
Internet Protocols use IP Addresses to identify devices on the Internet, and ports to identify specific services
within the devices. When a network gateway maps the messages coming from the Internet to individual internal
IP Addresses(i.e. devices) on the LAN it does so on a per port basis. This is known as port forwarding.
Figure 4: Example of Port Forwarding
What is Domain Name Service (DNS)?
As most Internet users are aware, servers on the Internet are usually identified by their Universal Resource
Locators, or URLs. These are protocol identifiers and domains and subdomains arranged in an hierarchy
separated by periods ('.'), for example; http://www.strategcvista.com However, the real network addresses that
are commonly used to communicate over the Internet are called IP Addresses. The device that converts a URL
into the associated IP Address is called a name server. When your computer wants to access an Internet site, it
first makes a call to the name server to resolve the URL into an IP Address. Then it will access the named site.
Name servers do more than just translate URLs. They also share their information with other name servers to
form an hierarchical, distributed database, collectively called a Domain Name System (DNS).
What does a Dynamic DNS service do?
The DDNS service has 2 components to it. When you register your device, you are assigned a unique identifier
that you program into your video device. You are also assigned a fixed URL that corresponds to your video
device. Then from time to time or when the IP Address of your device changes, this device sends a message to
the DDNS server on the Internet which instructs the server to capture and record your real network IP address
and propagate it into the DNS.
When you want to locate your video device, you will enter the fixed URL into the web browser or video application
address field. No matter what your real IP Address is at the time, the DNS system will be able to translate the
URL into the current IP Address and enable the browser or application to communicate with the video server, via
the network router. There are free and commercial DDNS services available. Both of these work the same way,
but the commercial (paid) services guarantee a higher level of service. lorexcctv.net is a DDNS service that
is bundled with Lorex Technology Inc. Remote Access products and provides a reliable and easy way to connect to
these devices. There are no recurring payments for this service.
Implementing Remove Access
Where is the best place to start?
The first step in implementing remote access is to get Local network access working properly, using the same
client computer application or browser as you intend to use for remote access later on. Use the instructions
provided with the product, as setup methods will vary from product to product. There may well be a utility PC-
application to help you do this.
7
Gateway/Router
Device A
Device B
msg to
216.176.57.75
port 8000
m
s
g
to
2
1
6
.
1
7
6
.
5
7
.
7
5
p
o
rt 8
0
0
1
m
a
p
s
t
o
1
9
2.
1
68
.1.
5
5
p
o
rt 80
0
0
m
a
p
s
t
o
1
9
2
.
1
6
8
.
1
.
6
6
p
o
rt 8
0
0
1
Internet
LAN










