Instruction Manual

Freeze-dryer EPSILON 1-4 LSCplus
Freeze-dryer EPSILON 2-4 LSCplus
6 Operation
Version 04/2014, Rev. 1.4 of 09/12/2014 • sb
69
Translation of the original operating manual
Program sections
When the programmer module executes a freeze-drying process, it
executes the various sections that were created one after the other until the
last section is completed.
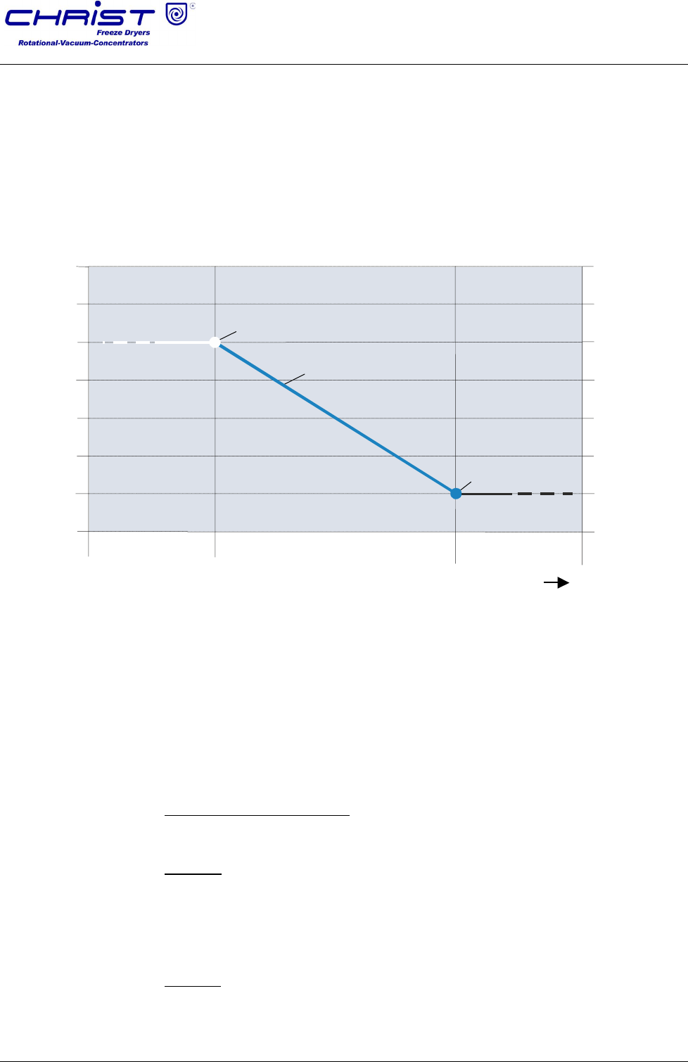
Within the various sections, the system calculates linear ramps for the
temperature and vacuum.These ramps start with the set value of the
previous section and end with the set value of the current section.
As a result, there is not abrupt change of the set value from section to
section, but a steady adaptation.
Fig. 61: Graphical representation of the course of the control set value
In order to protect the product, a safety pressure value can be entered in
every drying section.
Conditions for switching to the next section
For all of the program sections to be executed automatically, certain
switching conditions must be fulfilled at the end of each section. If these
conditions are not fulfilled, e.g. due to incorrect set values, a corresponding
process message will be displayed and the section will be extended.
Ice condenser temperature: This value is checked only when the system
switches from freezing (loading) to drying. The ice condenser temperature
must be -40°C.
Vacuum: This value is checked only during the drying phase. The actual
vacuum can differ from the set value by 20% maximum. In the case of a set
value of 0.001 mbar (final vacuum), there will be no check. In order to reach
the vacuum as quickly as possible, a section time of 1 minute can be
preselected. Since this is not possible in practice, a process message will
be issued for the first time after 15 minutes in this case.
T shelf: This value defines the permissible deviation of the shelf
temperature from the set value. At the end of the section, the actual
temperature of the shelves (in the case of WST shelf 1) will be compared to
T/°C
t/h
1000
100
10
1
0.1
0.01
0.001
0.0001
+40
+30
+20
+10
0
-10
-20
-30
Pressure/mbar
Set value of the previous section
Course of the shelf temperature
control set value
Set value of the
current section
Previous
section
Current
section
Following
section










