Manual
Table Of Contents

Chapter 2
BluLoop Light Source
Specifications
Overview
This section provides information on the spectral output and the operating environment of the BluLoop
light source.
Spectral Output
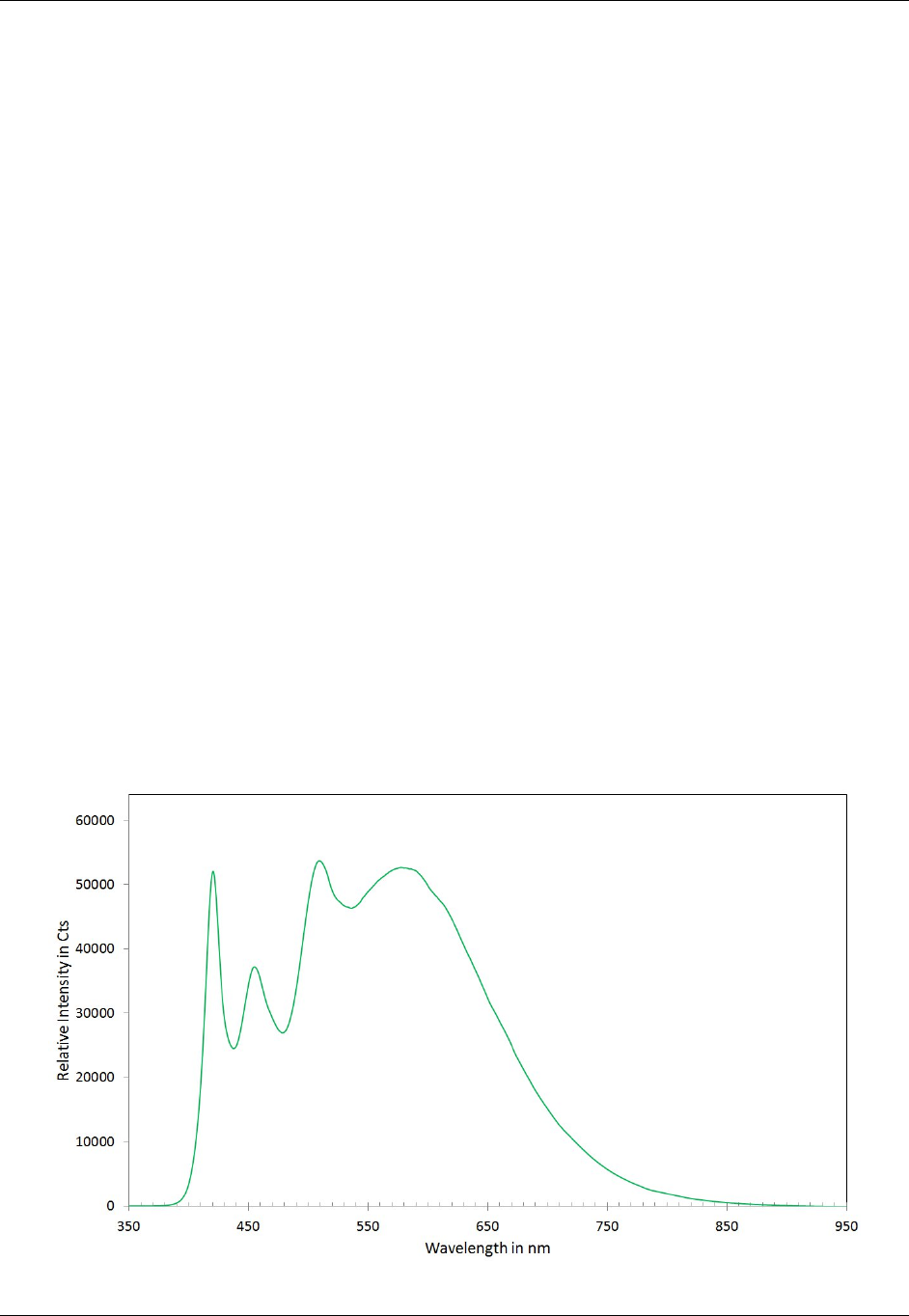
The following graph shows a spectral output of a BluLoop measured with a QE65000 spectrometer.
Because the output is a combination of four LEDs the output can be manipulated by driving the single
LEDs at different currents. The spectral distribution is set at the factory and should be similar to the
spectrum shown below.
000-blulo-110-02-201204 5










