User's Manual

144 Chapter 11. Services Tutorials
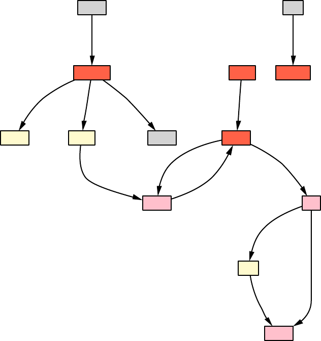
Based on Figure 11-8, the versioning service decides which object types should be versioned,
recoverable, or simply ignored. The result of this decision can be visualized as follows.
VT2
C1
cnt:c1s
UT3
cnt:ut3s
A1
rqd:a1s
UT4
cnt:ut4
rqd,cst:vt2
VT1 VTC3
rqd:ut4
VUT2
UT5
unv,cnt:ut5
UT6
vnd:ut6s
UT1
rqd:ut1
rqd:ut3attr
C2
rqd,cst:vtc3
UT2
Figure 11-9. Versioning dependence graph
Red-colored nodes indicate those object types that are fully versioned by virtue of being marked
versioned (vnd) or having a supertype that is marked vnd.
Pink-colored nodes represent those types that are co-versioned by virtue of being a component of a
versioned or co-versioned object type.
Yellow-colored nodes denote those types that are treated as recoverable by virtue of being a required
attribute of a versioned or recoverable type.










