Datasheet

Table Of Contents
STM32F105xx, STM32F107xx Electrical characteristics
Doc ID 15274 Rev 6 57/104
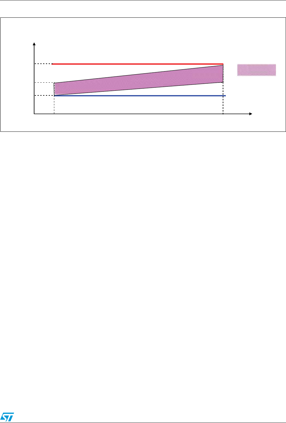
Figure 19. Standard I/O input characteristics - TTL port
AI

)NPUTRANGE
NOTGUARANTEED
6
)(
6
),
6






44,REQUIREMENTS 6
)(
6
6
)(
6
$$

6
),
6
$$

44,REQUIREMENTS 6
),
6
6
$$
6
7
),MAX
7
)(MIN