Data Sheet
Table Of Contents

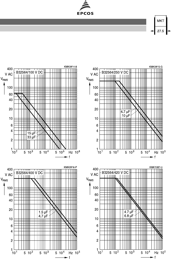
Permissible AC voltage V
RMS
versus frequency f (for sinusoidal waveforms, T
A
≤55 °C)
For T
A
>55 °C, please refer to "General technical information", section 3.2.3.
Lead spacing 27.5 mm
100 V DC/63 V AC 250 V DC/160 V AC
400 V DC/200 V AC 420 V DC/200 V AC
B32564
General purpose (stacked) SilverCap
TM
Page 21 of 32Please read Cautions and warnings and
Important notes at the end of this document.