Datasheet
Table Of Contents

LM1876
SNAS097C –MAY 1999–REVISED APRIL 2013
www.ti.com
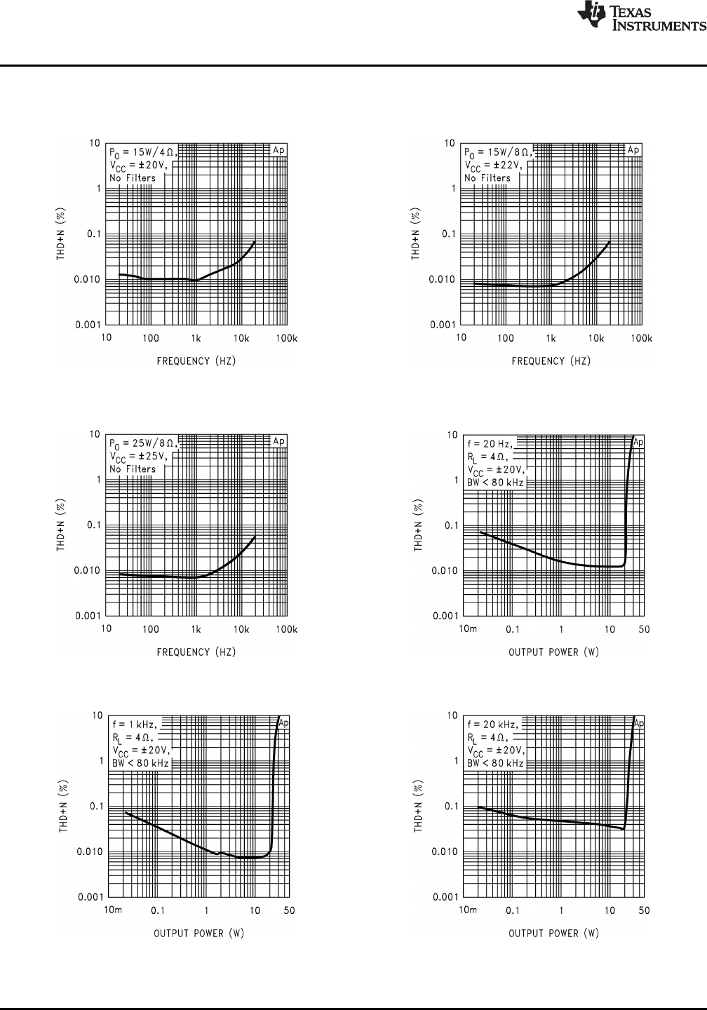
Typical Performance Characteristics
THD + N THD + N
vs vs
Frequency Frequency
Figure 7. Figure 8.
THD + N
vs THD + N vs
Frequency Output Power
Figure 9. Figure 10.
THD + N vs THD + N vs
Output Power Output Power
Figure 11. Figure 12.
10 Submit Documentation Feedback Copyright © 1999–2013, Texas Instruments Incorporated
Product Folder Links: LM1876










