Datasheet
Table Of Contents

LM1876
www.ti.com
SNAS097C –MAY 1999–REVISED APRIL 2013
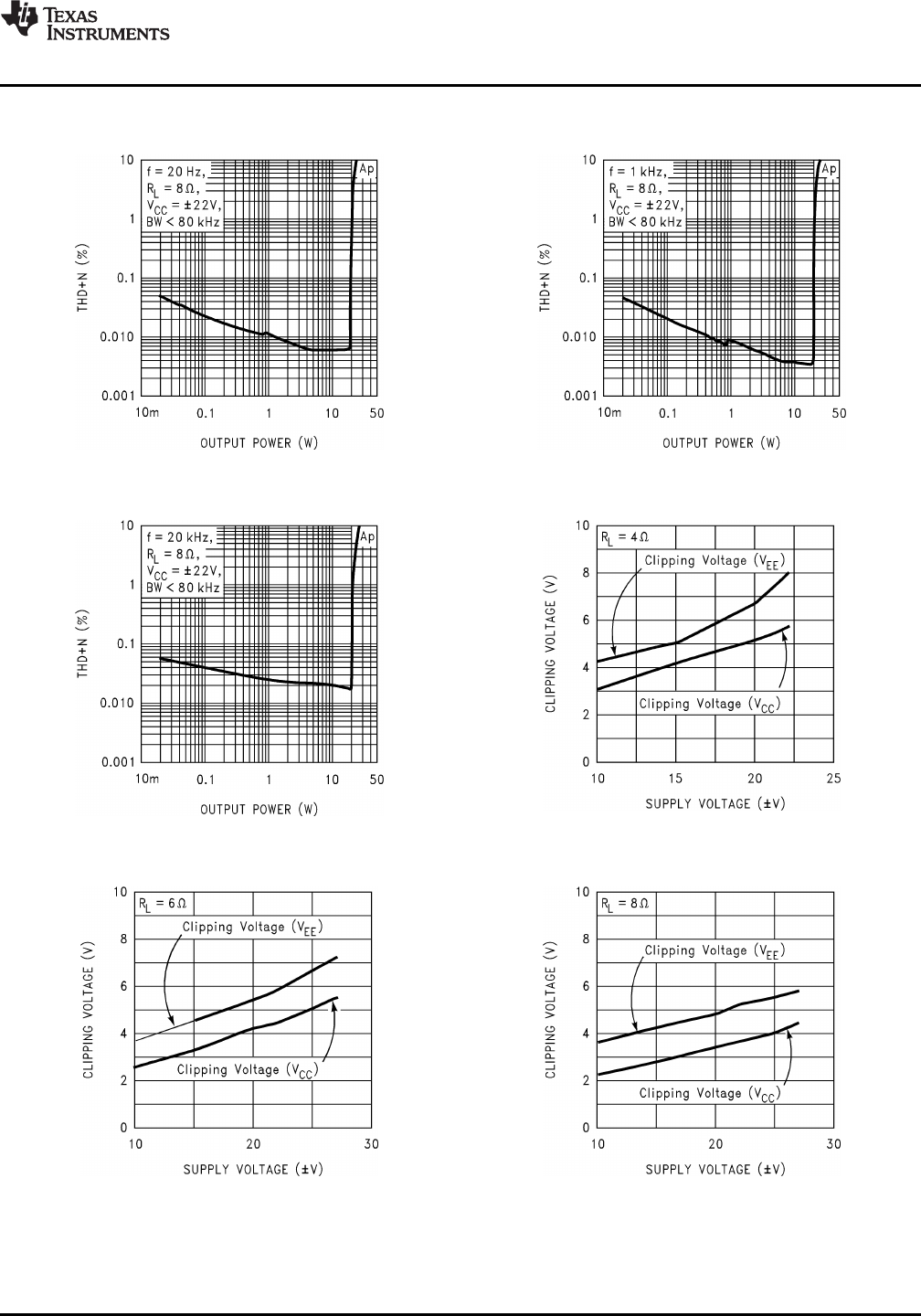
Typical Performance Characteristics (continued)
THD + N vs THD + N vs
Output Power Output Power
Figure 13. Figure 14.
THD + N vs Clipping Voltage vs
Output Power Supply Voltage
Figure 15. Figure 16.
Clipping Voltage vs Clipping Voltage vs
Supply Voltage Supply Voltage
Figure 17. Figure 18.
Copyright © 1999–2013, Texas Instruments Incorporated Submit Documentation Feedback 11
Product Folder Links: LM1876










