Datasheet

LM2596
www.ti.com
SNVS124C NOVEMBER 1999REVISED APRIL 2013
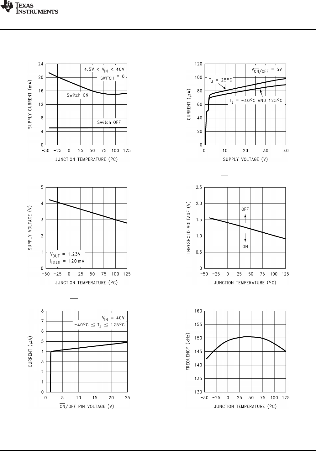
Typical Performance Characteristics (continued)
(Circuit of Figure 20)
Operating Shutdown
Quiescent Current Quiescent Current
Figure 9. Figure 10.
Minimum Operating ON /OFF Threshold
Supply Voltage Voltage
Figure 11. Figure 12.
ON /OFF Pin
Current (Sinking) Switching Frequency
Figure 13. Figure 14.
Copyright © 1999–2013, Texas Instruments Incorporated Submit Documentation Feedback 7
Product Folder Links: LM2596