Datasheet
Table Of Contents

LM2665
www.ti.com
SNVS009F –NOVEMBER 1999–REVISED MAY 2013
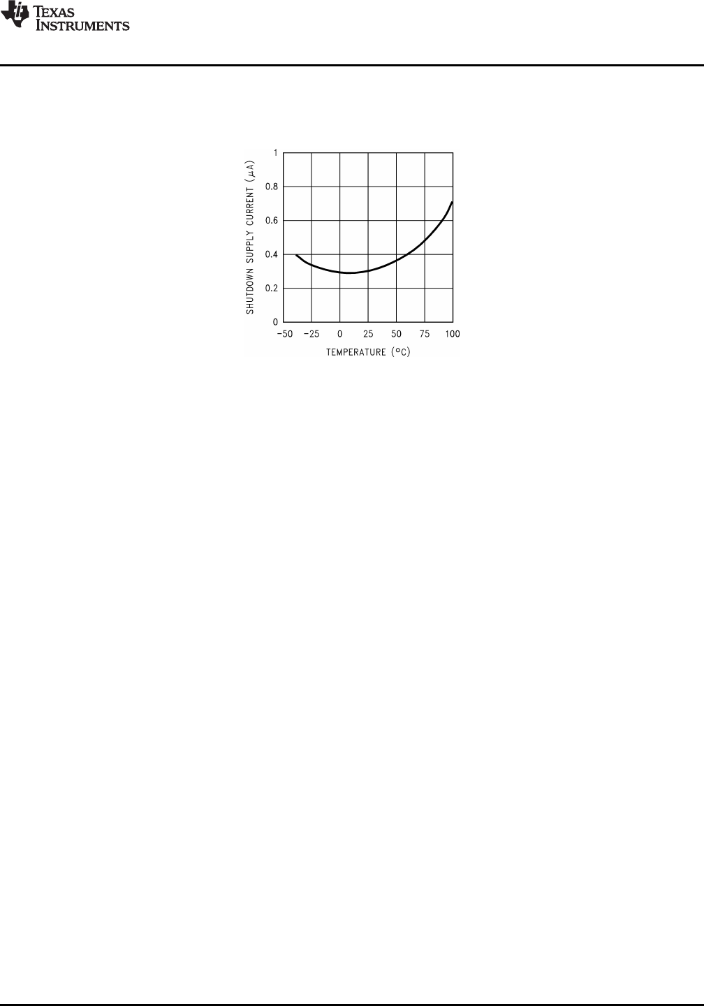
Typical Performance Characteristics (continued)
(Circuit of Figure 1, V+ = 5V unless otherwise specified)
Shutdown Supply
Current vs
Temperature
Figure 10.
Copyright © 1999–2013, Texas Instruments Incorporated Submit Documentation Feedback 5
Product Folder Links: LM2665










