Datasheet

LM4121
www.ti.com
SNVS073C APRIL 2000REVISED APRIL 2013
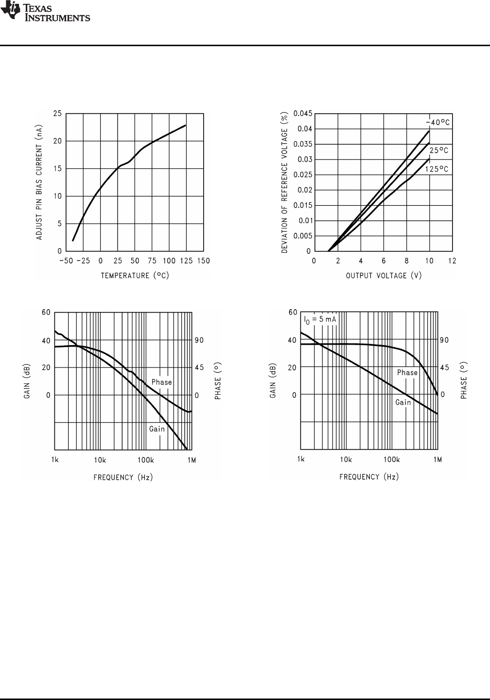
LM4121-ADJ Typical Operating Characteristics (continued)
Unless otherwise specified, V
IN
= 3.3V, V
OUT
= 1.2V, I
LOAD
= 0, C
OUT
= 0.022µF, T
A
= 25°C and V
EN
= V
IN
.
Change In Reference Voltage
vs
Adjust Pin Bias Current Output Voltage
Figure 30. Figure 31.
Bode Plot Bode Plot
Figure 32. Figure 33.
Copyright © 2000–2013, Texas Instruments Incorporated Submit Documentation Feedback 11
Product Folder Links: LM4121