Datasheet
Table Of Contents
- FEATURES
- APPLICATIONS
- KEY SPECIFICATIONS
- DESCRIPTION
- Absolute Maximum Ratings
- Operating Ratings
- Electrical Characteristics VDD = 5V
- Electrical Characteristics VDD = 3V
- Electrical Characteristics VDD = 2.6V
- External Components Description
- Typical Performance Characteristics
- Application Information
- BRIDGED CONFIGURATION EXPLANATION
- EXPOSED-DAP PACKAGE PCB MOUNTING CONSIDERATIONS FOR THE LM4890LD
- POWER DISSIPATION
- POWER SUPPLY BYPASSING
- SHUTDOWN FUNCTION
- SHUTDOWN OUTPUT IMPEDANCE
- PROPER SELECTION OF EXTERNAL COMPONENTS
- AUDIO POWER AMPLIFIER DESIGN
- LM4890 SOIC DEMO BOARD ARTWORK
- LM4890 VSSOP DEMO BOARD ARTWORK
- PCB LAYOUT GUIDELINES
- GENERAL MIXED SIGNAL LAYOUT RECOMMENDATIONS
- Revision History
- Page 1

LM4890
www.ti.com
SNAS138L –SEPTEMBER 2001–REVISED MAY 2013
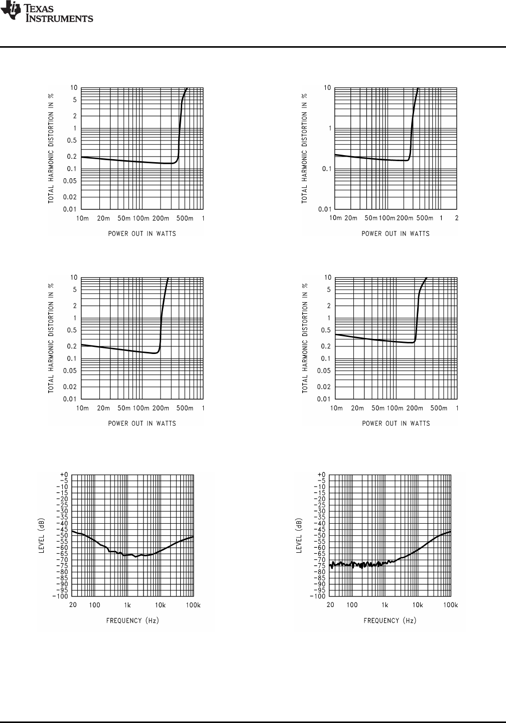
Typical Performance Characteristics (continued)
THD+N vs Power Out THD+N vs Power Out
at V
DD
= 3.3V, R
L
= 8Ω, 1kHz, A
V
= 2 at V
DD
= 3V, R
L
= 8Ω, 1kHz, A
V
= 2
Figure 14. Figure 15.
THD+N vs Power Out THD+N vs Power Out
at V
DD
= 2.6V, R
L
= 8Ω, 1kHz, A
V
= 2 at V
DD
= 2.6V, R
L
= 4Ω, 1kHz, A
V
= 2
Figure 16. Figure 17.
Power Supply Rejection Ratio (PSRR) at A
V
= 2 Power Supply Rejection Ratio (PSRR) at A
V
= 2
V
DD
= 5V, V
ripple
= 200mvp-p V
DD
= 5V, V
ripple
= 200mvp-p
R
L
= 8Ω, R
IN
= 10Ω R
L
= 8Ω, R
IN
= Float
Figure 18. Figure 19.
Copyright © 2001–2013, Texas Instruments Incorporated Submit Documentation Feedback 9
Product Folder Links: LM4890










