Datasheet
Table Of Contents
- FEATURES
- Applications
- DESCRIPTION
- Absolute Maximum Ratings
- Operating Ratings
- 5.0V DC Electrical Characteristics
- 5.0V AC Electrical Characteristics
- 2.7V DC Electrical Characteristics
- 2.7V AC Electrical Characteristics
- 24V DC Electrical Characteristics
- 24V AC Electrical Characteristics
- Typical Performance Characteristics
- Application Information
- Revision History

LM6152, LM6154
www.ti.com
SNOS752D –MAY 1999–REVISED MARCH 2013
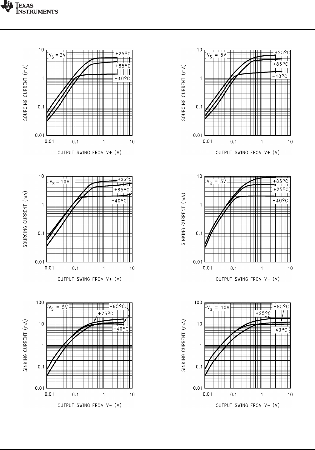
Typical Performance Characteristics (continued)
Output Voltage vs. Source Current Output Voltage vs. Source Current
Figure 9. Figure 10.
Output Voltage vs. Source Current Output Voltage vs. Sink Current
Figure 11. Figure 12.
Output Voltage vs. Sink Current Output Voltage vs. Sink Current
Figure 13. Figure 14.
Copyright © 1999–2013, Texas Instruments Incorporated Submit Documentation Feedback 7
Product Folder Links: LM6152 LM6154










