Datasheet

LMC7221
www.ti.com
SNOS748E SEPTEMBER 1999REVISED MARCH 2013
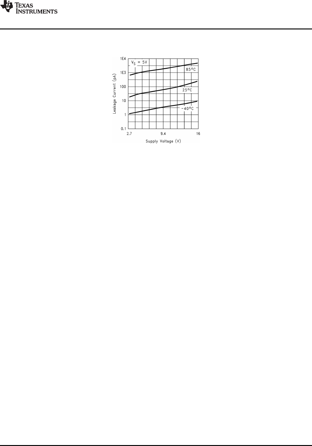
Typical Performance Characteristics (continued)
Leakage Current
vs.
Supply Voltage
Figure 15.
APPLICATION INFORMATION
BENEFITS OF THE LMC7221 TINY COMPARATOR
Size
The small footprint of the 5-Pin SOT-23 packaged Tiny Comparator, (0.120 x 0.118 inches, 3.05 x 3.00 mm)
saves space on printed circuit boards, and enable the design of smaller electronic products. Because they are
easier to carry, many customers prefer smaller and lighter products.
Height
The height (0.056 inches, 1.43 mm) of the Tiny Comparator makes it possible to use it in PCMCIA type III cards.
Simplified Board Layout
The Tiny Comparator can simplify board layout in several ways. First, by placing a comparator where
comparators are needed, instead of routing signals to a dual or quad device, long pc traces may be avoided.
By using multiple Tiny Comparators instead of duals or quads, complex signal routing and possibly crosstalk can
be reduced.
Low Supply Current
The typical 7 μA supply current of the LMC7221 extends battery life in portable applications, and may allow the
reduction of the size of batteries in some applications.
Wide Voltage Range
The LMC7221 is characterized at 15V, 5V and 2.7V. Performance data is provided at these popular voltages.
This wide voltage range makes the LMC7221 a good choice for devices where the voltage may vary over the life
of the batteries.
Digital Outputs Representing Signal Level
Comparators provide a high or low digital output depending on the voltage levels of the (+) and () inputs. This
makes comparators useful for interfacing analog signals to microprocessors and other digital circuits. The
LMC7221 can be thought of as a one-bit a/d converter.
Open Drain Output
The open drain output is like the open collector output of a logic gate. This makes the LMC7221 very useful for
mixed voltage systems.
Copyright © 1999–2013, Texas Instruments Incorporated Submit Documentation Feedback 7
Product Folder Links: LMC7221