Datasheet

TMC2590 DATASHEET (V1.0 / 2019-FEB-22) 13
www.trinamic.com
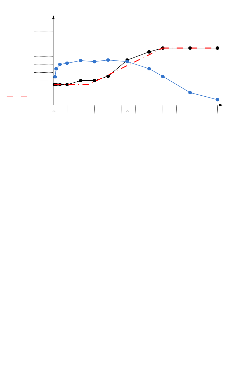
back EMF reaches
supply voltage
optimum
SGT setting
Motor RPM
(200 FS motor)
stallGuard2
reading at
no load
2
4
6
8
10
12
14
16
100
200
300
400
500
600
700
800
900
1000
18
20
0 0 50 100 150 200 250 300 350 400 450 500 550 600
lower limit for stall
detection 4 RPM
simplified
SGT setting
Figure 5.2 Linear interpolation for optimizing SGT with changes in velocity
5.1.2 Small Motors with High Torque Ripple and Resonance
Motors with a high detent torque show an increased variation of the StallGuard2 measurement value
SG with varying motor currents, especially at low currents. For these motors, the current dependency
might need correction in a similar manner to velocity correction for obtaining the highest accuracy.
5.1.3 Temperature Dependence of Motor Coil Resistance
Motors working over a wide temperature range may require temperature correction, because motor
coil resistance increases with rising temperature. This can be corrected as a linear reduction of SG at
increasing temperature, as motor efficiency is reduced.
5.1.4 Accuracy and Reproducibility of StallGuard2 Measurement
In a production environment, it may be desirable to use a fixed SGT value within an application for
one motor type. Most of the unit-to-unit variation in StallGuard2 measurements results from
manufacturing tolerances in motor construction. The measurement error of StallGuard2 – provided
that all other parameters remain stable – can be as low as:
5.2 StallGuard2 Measurement Frequency and Filtering
The StallGuard2 measurement value SG is updated with each full step of the motor. This is enough to
safely detect a stall, because a stall always means the loss of four full steps. In a practical application,
especially when using CoolStep, a more precise measurement might be more important than an
update for each fullstep because the mechanical load never changes instantaneously from one step to
the next. For these applications, the SFILT bit enables a filtering function over four load
measurements. The filter should always be enabled when high-precision measurement is required. It
compensates for variations in motor construction, for example due to misalignment of the phase A to
phase B magnets. The filter should only be disabled when rapid response to increasing load is
required, such as for stall detection at high velocity.










