Data Sheet
Table Of Contents
- Features
- Applications
- Description
- Absolute Maximum Ratings
- Operating Conditions
- LM2596-3.3 Electrical Characteristics
- LM2596-5.0 Electrical Characteristics
- LM2596-12 Electrical Characteristics
- LM2596-ADJ Electrical Characteristics
- All Output Voltage Versions Electrical Characteristics
- Typical Performance Characteristics
- Test Circuit and Layout Guidelines
- Application Information
- EXTERNAL COMPONENTS
- FEEDFORWARD CAPACITOR (Adjustable Output Voltage Version)
- OUTPUT CAPACITOR
- CATCH DIODE
- INDUCTOR SELECTION
- DISCONTINUOUS MODE OPERATION
- OUTPUT VOLTAGE RIPPLE AND TRANSIENTS
- OPEN CORE INDUCTORS
- THERMAL CONSIDERATIONS
- DELAYED STARTUP
- UNDERVOLTAGE LOCKOUT
- INVERTING REGULATOR
- INVERTING REGULATOR SHUTDOWN METHODS
- Revision History

LM2596
www.ti.com
SNVS124C –NOVEMBER 1999–REVISED APRIL 2013
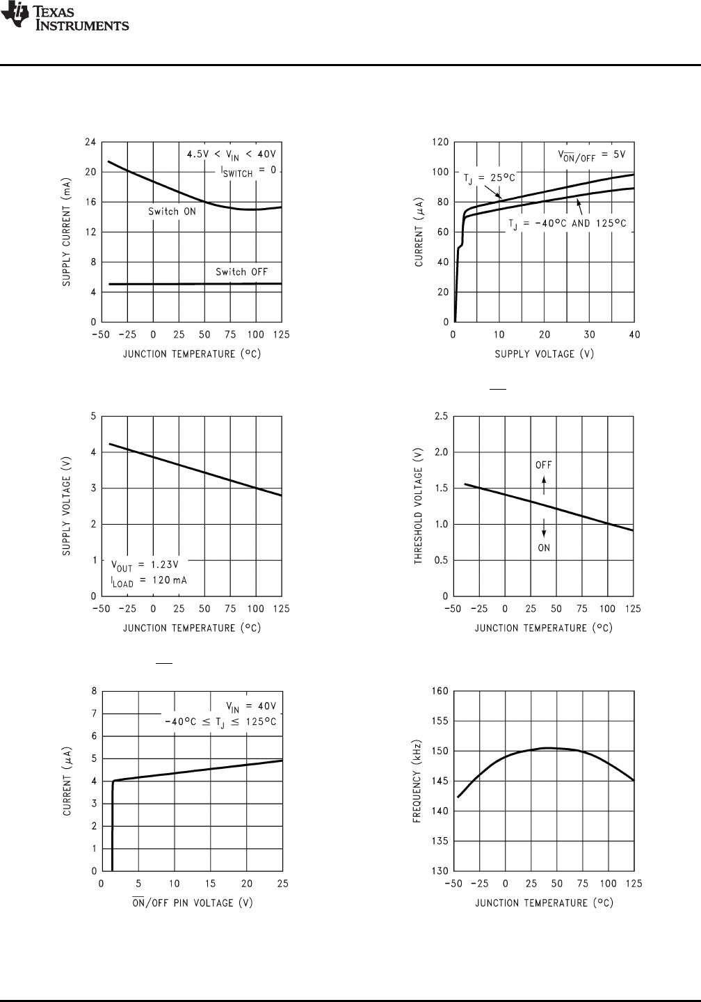
Typical Performance Characteristics (continued)
(Circuit of Figure 20)
Operating Shutdown
Quiescent Current Quiescent Current
Figure 9. Figure 10.
Minimum Operating ON /OFF Threshold
Supply Voltage Voltage
Figure 11. Figure 12.
ON /OFF Pin
Current (Sinking) Switching Frequency
Figure 13. Figure 14.
Copyright © 1999–2013, Texas Instruments Incorporated Submit Documentation Feedback 7
Product Folder Links: LM2596










