Data Sheet
Table Of Contents
- FEATURES
- APPLICATIONS
- DESCRIPTION
- Absolute Maximum Ratings
- Operating Ratings
- DC Electrical Characteristics
- AC Electrical Characteristics
- DC Electrical Characteristics
- AC Electrical Characteristics
- Typical Performance Characteristics
- Application Information
- AMPLIFIER TOPOLOGY
- INPUT COMMON-MODE VOLTAGE RANGE
- RAIL-TO-RAIL OUTPUT
- CAPACITIVE LOAD TOLERANCE
- COMPENSATING FOR INPUT CAPACITANCE
- PRINTED-CIRCUIT-BOARD LAYOUT FOR HIGH-IMPEDANCE WORK
- OFFSET VOLTAGE ADJUSTMENT
- UPGRADING APPLICATIONS
- DATA ACQUISITION SYSTEMS
- INSTRUMENTATION CIRCUITS
- SPICE MACROMODEL
- Typical Single-Supply Applications
- Revision History

LMC6482
www.ti.com
SNOS674D –NOVEMBER 1997–REVISED MARCH 2013
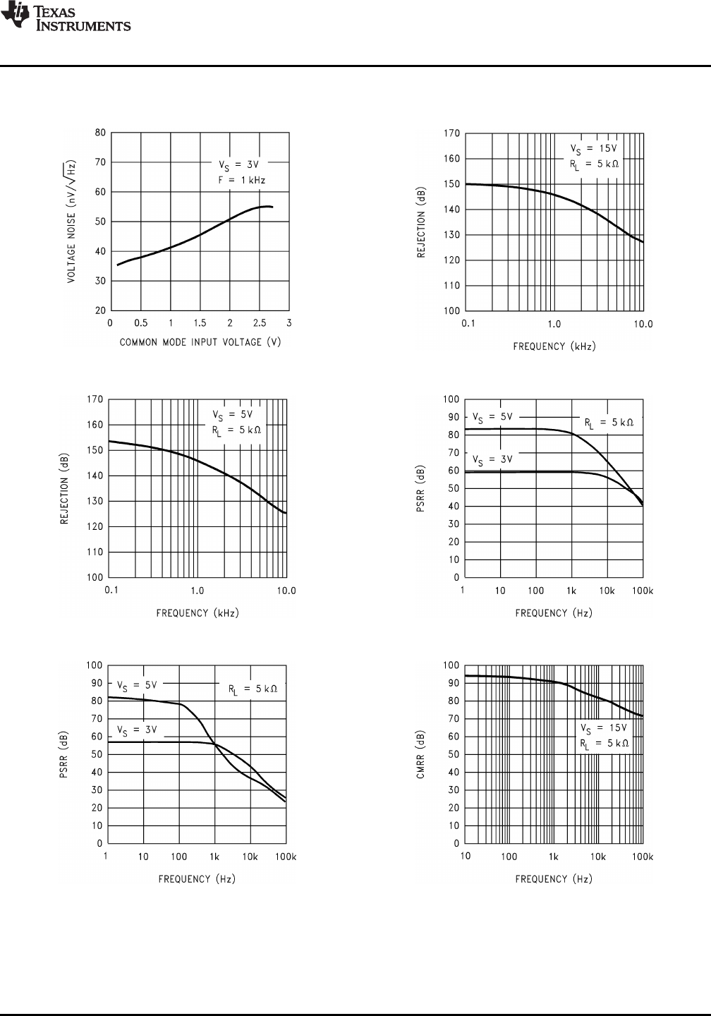
Typical Performance Characteristics (continued)
V
S
= +15V, Single Supply, T
A
= 25°C unless otherwise specified
Input Voltage Noise vs. Input Voltage Crosstalk Rejection vs. Frequency
Figure 16. Figure 17.
Crosstalk Rejection vs. Frequency Positive PSRR vs. Frequency
Figure 18. Figure 19.
Negative PSRR vs. Frequency CMRR vs. Frequency
Figure 20. Figure 21.
Copyright © 1997–2013, Texas Instruments Incorporated Submit Documentation Feedback 9
Product Folder Links: LMC6482










